Original Article - DOI:10.33594/000000835
Accepted 5 November 2025 - Published online 16 December 2025

Conifer Essential Oils Modulate Oxidative Stress and Erythrocyte Stability in Human Blood in Vitro

aInstitute of Biology, Pomeranian University in Słupsk, Słupsk, Poland,
bDepartment of Physics, Institute of Exact and Technical Sciences, Pomeranian University in Słupsk, Słupsk, Poland,
cInstitute of Experimental Physics, Faculty of Mathematics, Physics and Informatics, University of Gdańsk, Gdańsk, Poland,
dInstitute of Chemistry, Jan Kochanowski University of Kielce, Kielce, Poland,
eInstitute for Breath Research, University of Innsbruck, Dornbirn, Austria,
fDepartment of Tropical and Subtropical Plants, M. M. Hryshko National Botanic Garden, Kyiv, Ukraine

Keywords

Abstract

Background/Aims:

Essential oils (EOs) derived from conifers of the Pinaceae family are complex bioactive mixtures known for their antioxidant and antimicrobial properties. However, their impact on human redox homeostasis, particularly in blood, remains poorly understood. This study aimed to compare the redox-modulating and membrane-stabilising effects of essential oils from Scots pine (PEO), European spruce (SEO), and European silver fir (FEO) using an in vitro human blood model.

Methods:

The chemical composition of each EO was characterised using gas chromatography–mass spectrometry (GC-MS), proton-transfer-reaction mass spectrometry (PTR-MS), and Fourier-transform infrared spectroscopy (FTIR). Human blood samples were incubated with different EO concentrations, and oxidative stress biomarkers, antioxidant enzyme activities, and erythrocyte membrane stability were evaluated.

Results:

All EOs exhibited terpene-rich profiles dominated by α-pinene, β-pinene, borneol, and bornyl acetate, with distinct species-specific differences. The oils displayed concentration-dependent biphasic redox effects. At moderate concentrations, PEO and SEO enhanced total antioxidant capacity and increased catalase and ceruloplasmin activities by 15–25% (p < 0.05). In contrast, higher doses—particularly of FEO—induced lipid peroxidation and protein oxidation by 40–60% (p < 0.05), indicating pro-oxidant behaviour. Erythrocyte haemolysis assays revealed that SEO exerted the strongest membrane-stabilising effect (haemolysis reduced by 18%), whereas FEO increased membrane fragility (haemolysis increased by 27%).

Conclusion:

Pinaceae-derived essential oils exhibit dual antioxidant and pro-oxidant activity dependent on concentration and species. Among them, PEO showed the most balanced redox profile. These findings highlight both the therapeutic potential and the importance of controlled dosing when considering such oils for biomedical applications.

Introduction

In recent decades, there has been growing interest in the scientific community in using natural bioactive compounds, particularly essential oils (EOs), as an alternative to conventional pharmaceuticals. This trend is largely motivated by concerns about the safety and side effects of synthetic therapeutic agents as well as the growing problem of drug resistance [1, 2]. Among plant-derived EOs, those extracted from coniferous trees of the Pinaceae family – particularly pine (Pinus sylvestris), spruce (Picea abies), and fir (Abies alba) – have attracted particular attention due to their diverse chemical compositions and a broad spectrum of biological activities [3-5]. Traditionally used in folk medicine to treat respiratory, inflammatory, and infectious conditions, these essential oils are now being extensively investigated for their antioxidant, antimicrobial, and antiviral properties, making them promising candidates for both therapeutic and preventive applications [3, 6]. Their multifunctional action, which combines direct antimicrobial activity with modulation of host defence systems, makes them particularly valuable. The antioxidant activity of EOs is a key property responsible for their ability to counteract oxidative stress [6, 7]

EOs are chemically complex mixtures of volatile organic compounds (VOCs), with terpenoids – particularly monoterpenes such as α-pinene, β-pinene, borneol, limonene, and bornyl acetate – representing the dominant constituents [8, 9]. Terpenes seem to be the largest and the most significant group of secondary metabolites in conifer trees. They function as both constitutive and inducible defence mechanisms protecting plants from invading pathogens and herbivores [10]. These compounds are widely recognised for their antioxidant, anti-inflammatory, antimicrobial, and antiviral properties [8, 11]. However, the composition of conifer-derived EOs can vary considerably depending on such factors as the plant species, its geographical origin, climatic conditions, seasonal changes, plant developmental stage, and the extraction techniques employed. Such variability strongly influences their pharmacological activity, highlighting the importance of comparative analyses to establish consistent therapeutic profiles and ensure reproducibility in biomedical applications [3, 12, 13]. Therefore, the standardisation and quality control of EOs are still essential prerequisites for their safe use in medicine.

The biological relevance of these oils is supported both by their ethnopharmacological applications and by modern pharmacological evidence. For example, Pinus extracts have long been employed in traditional Turkish medicine to relieve rheumatic pain and promote wound healing [14]. Recent investigations have elucidated the mechanisms underlying these effects demonstrating that specific terpenoids stimulate collagen synthesis, accelerate wound contraction, and reduce local inflammation [15, 16]. Beyond Pinus, essential oils from the genera Picea and Abies, which are particularly rich in bornyl acetate and α-pinene, have also exhibited notable antiviral and antimicrobial properties. For instance, Picea glehnii essential oil has been shown to exhibit potent antiviral activity against the hepatitis E virus, likely attributable to its terpenoid profile [17]. Similarly, Yu et al. (2025) reported that essential oils extracted from Pinus koraiensis needles possessed potent antibacterial activity, particularly against Escherichia coli and Staphylococcus aureus [18]. In line with these findings, Liang et al. (2025) demonstrated that pine needle EOs enriched in volatile compounds, such as α-pinene, β-pinene, and germacrene D, display pronounced antibacterial and antioxidant activities, thereby expanding their therapeutic potential [19]. Collectively, these results underscore the promise of conifer-derived essential oils as a natural resource for addressing critical global health challenges, including antimicrobial resistance and viral epidemics [20, 21]. A key aspect of their therapeutic potential lies in their capacity to modulate oxidative stress, a pathophysiological state defined by an imbalance between the production of reactive oxygen species (ROS) and antioxidant defence mechanisms in cells [22].

Human whole blood and isolated erythrocytes are a practical and mechanistically informative platform for the translation of research into redox modulation by phytochemicals. This is because they (i) recapitulate key cellular and plasma components relevant to systemic oxidative chemistry, (ii) permit the direct measurement of functionally meaningful endpoints, such as haemolysis, lipid peroxidation, antioxidant enzyme activities and total antioxidant capacity, and (iii) have been widely used to bridge the gap between simple chemical assays and complex in vivo responses. Whole blood preserves cell-plasma interactions and antioxidant buffering, which are absent from cell-free chemical tests and improve physiological relevance [23, 24]. Erythrocytes are particularly sensitive indicators of redox perturbation – their abundant haemoglobin, the high polyunsaturated lipid content of their membranes, and their well-characterised antioxidant systems make them a convenient and quantifiable indicator of oxidative damage and protection [25-27]. Methodologically, a variety of validated assays can be applied directly to human blood or erythrocyte preparations, allowing comparison across studies and with clinical biomarkers. These include hemolysis and osmotic fragility, lipid peroxidation, ferric reducing antioxidant power (FRAP), total antioxidant capacity (TAC), enzyme activity measurements, etc [28, 29].. Notably, ex vivo human blood studies have successfully demonstrated the protective or modulating effects of phytochemicals, including polyphenols and essential oils, on erythrocyte oxidative endpoints. This provides mechanistic support for subsequent in vivo or clinical investigations [30-32]. Using human blood models also offers ethical and practical advantages, such as direct access to human material, controlled exposure and reduced animal use, while permitting dose-response and time-course experiments that help interpret whether the in vitro antioxidant activity observed in chemical assays translates into biologically relevant effects [33-35]. However, we acknowledge the limitations of this approach, particularly the absence of first-pass metabolism, distribution, and complex organ crosstalk in isolated blood experiments. Therefore, we treat the human blood in vitro model as a mechanistic and translational intermediate that complements, but does not replace, in vivo or clinical studies [36, 37].

Blood components, particularly erythrocytes and plasma, are highly susceptible to oxidative damage, making them valuable systems for assessing the cytoprotective, pro-oxidant, and immunomodulatory effects of bioactive compounds [38-41]. Erythrocytes serve as reliable indicators of oxidative imbalance and membrane integrity due to their high polyunsaturated lipid content and limited repair mechanisms [42]. Meanwhile, plasma reflects systemic antioxidant status through its diverse pool of soluble antioxidants and proteins. Together, these two compartments provide a robust experimental framework for evaluating the safety, bioavailability, and therapeutic properties of essential oils [43]. This model is particularly relevant because it closely reflects the physiological environment of bioactive compounds circulating in the human body [41].

Against this background, the present study aims to perform a comparative analysis of essential oils derived from Pinus sylvestris, Picea abies, and Abies alba, with a particular focus on their chemical composition and biological activities in an in vitro human blood model. Advanced analytical techniques, such as gas chromatography-mass spectrometry (GC-MS), proton transfer reaction-mass spectrometry (PTR-MS), and Fourier-transform infrared spectroscopy (FTIR), together with biochemical assays were employed to (i) characterise the VOC composition of the three coniferous EOs and (ii) evaluate their oxidant capacity by assessing markers of oxidative stress and haemolysis in human blood samples. By linking chemical profiles with functional biological outcomes, this study contributes to a deeper understanding of the dual role of Pinaceae-derived EOs in modulating oxidative stress and provides a scientific basis for their safe and effective use in the management of oxidative stress-related diseases.

Materials and Methods

Essential oils. The essential oils were provided by a Polish manufacturer (Naturalne Aromaty sp. z o.o., Bochnia, Poland). Three essential oils were investigated: Scots pine essential oil (PEO) derived from Pinus sylvestris, European spruce essential oil (SEO) derived from Picea abies, and European silver fir essential oil (FEO) derived from Abies alba. The manufacturers confirmed the natural origin of the samples documented by the quality certificates provided with each batch and declared that the oils did not contain additives or solvents. The samples were stored in sealed amber glass vials at 4°C in the dark but were allowed to adjust to room temperature prior to analysis. These conditions minimised the risk of volatile compound degradation and ensured sample stability. The precise geographical origin of the samples could not be established, as detailed sourcing information was not consistently available.

Physical and chemical analysis of the essential oil composition

Chromatographic analysis. The volatile compounds emitted by the EOs under study were pre-concentrated using headspace solid-phase microextraction (HS-SPME). Shortly before analysis, approximately 1 μL of oil was transferred into a 20 mL headspace vial (Gerstel, Germany). The vial was purged with high-purity air to remove potential ambient contaminants and then sealed with 1.3 mm butyl/PTFE septa (Macherey-Nagel, Germany).
Prior to extraction, the vial was incubated at 37°C for 10 minutes. HS-SPME was performed using an automated MPS2 autosampler (Gerstel, Germany), which inserted an SPME fibre coated with 75 µm CAR/PDMS (Supelco, Canada) into the vial and exposed it to the headspace for 10 minutes at 37°C. After extraction, the fibre was introduced into the gas chromatograph (GC) inlet, where the analytes were thermally desorbed in the splitless mode at 290°C for one minute.
Analysis was performed using a gas chromatography–mass spectrometry (GC–MS) system (Agilent 7890A/5975C, Agilent Technologies, USA). The GC inlet was equipped with an inert SPME liner (0.75 mm internal diameter, Supelco, Canada) and was initially operated in the splitless mode, followed by the split mode with a 1:50 split ratio. VOCs were separated on an Rxi-624Sil MS column (30 m × 0.32 mm, 1.8 µm film thickness; Restek, USA) with a constant helium flow of 1.5 mL min⁻¹.
The GC oven was programmed as follows: an initial temperature of 40°C (held for 10 minutes), increased at 5°C per minute to 150°C (held for 5 minutes), followed by a ramp of 10°C per minute to 280°C, with a final hold at 280°C for 10 minutes. The mass spectrometer operated in the SCAN mode with a mass range of m/z 20-250. The quadrupole, ion source, and transfer line temperatures were set to 150°C, 230°C, and 280°C, respectively.
Compound identification was based on mass spectral matching using the NIST library. Where possible, identities were confirmed by comparing the retention times of the target compounds with those obtained from authentic standard mixtures.

Proton transfer reaction – mass spectrometry (PTR-MS) analysis. The content of VOCs in the essential oils was analysed using a high-sensitivity PTR-MS (IONICON Analytik GmbH, Innsbruck, Austria) operating in the 1-512 amu mass range. This technique uses soft ionisation, which involves transferring a proton from a hydronium ion (H₃O⁺) to the target molecule. The reaction can be represented by the following equation: $${{ \text{H}_2\text{O}^+ + \text{M} \longrightarrow \text{H}^+ \text{M} + \text{H}_2 \text{O} \hspace{50px} \text{(1)}}}$$ Unlike traditional ionisation methods (e.g. electron impact), the PTR-MS induces significantly less fragmentation of VOC molecules, thereby facilitating the interpretation of mass spectra, particularly in the case of complex mixtures. This technique is widely applied in air quality monitoring, in the analysis of VOC emissions from food products (including fruits [44, 45], and in medical and physiological studies, such as human breath analysis [46]. For comprehensive overview, see relevant reviews [47, 48].
To prevent detector saturation caused by the high concentration of certain VOCs in the samples, all oil headspaces were diluted prior to analysis. The gas phase above the oils in their original packaging was sampled using 10-mL syringes. The collected gas was subsequently transferred into 200-ml plastic vessels wrapped in aluminium foil. A capillary tube was then inserted through a small hole in the foil, enabling introduction of the gaseous sample into the PTR-MS drift chamber.
To prevent the condensation of volatile components, the capillary and the drift chamber were both maintained at a temperature of 60°C. To minimise contamination from previous measurements, each oil sample was analysed one day after the previous one. During the intervals between measurements, the system was flushed with purified air.
Background measurements were conducted prior to each sample analysis to confirm the absence of VOCs originating from previous runs. Subsequently, mass spectra were recorded with six scans per sample within a mass range from 21 to 300 Da. All measurements were performed in standardised conditions: specifically, a drift chamber pressure of 2.2 mbar and a drift voltage of 600 V were used.

Fourier-transform infrared spectroscopy (FTIR) analysis. Fourier-transform infrared spectroscopy (FTIR) analysis was also done to identify some components in the studied oils. The measurements were performed on a Nicolet iS50 FTIR Spectrometer (Thermo Fisher Scientific, Waltham, USA). Infrared absorption spectra were obtained using the KBr pellet method. A drop of oil was placed on the KBr pellet to form a thin film, and then an IR absorption spectrum was measured. All measurements were performed at room temperature (about 21°C). Absorption spectra in the infrared range contain information about the vibrational frequencies of the chemical bonds of functional groups, such as C-C, C-H, C-O, O-H, N-H, etc. Therefore, IR spectra can be used to identify some organic compounds. For this reason, FTIR spectroscopy is widely applied in biological and chemical studies [49, 50].
Multi-component decomposition (up to 4 components) of the measured spectra was performed using OMNIC Specta Software (Thermo Fisher Scientific, Waltham, USA). The chemical structures were visualised using GaussView 5.0.9 software.

Human blood samples. Peripheral blood (approximately 60 ml) was obtained via venipuncture from eight healthy volunteers (four males and five females aged 28-53 years). The study protocol was approved by the Research Ethics Committee of the Regional Medical Chamber in Gdańsk, Poland (KB-31/18). Written informed consent was obtained from all participants prior to enrolment.
Human erythrocytes were isolated from citrated blood by centrifugation at 3, 000 rpm (~1, 500×g) for 10 minutes at 4°C. The plasma and buffy coat were carefully removed and the erythrocytes were washed three times with phosphate-buffered saline (PBS; 4 mM, pH 7.4) until the supernatant became clear. The final erythrocyte pellet was resuspended in the same buffer to achieve a suspension with the desired haematocrit. The cells were stored at 4 °C and used within 6 hours of preparation to ensure viability. To preserve inter-individual variability, blood from different donors was analysed separately. Therefore, each donor sample represented one biological replicate (n = 8). Each biochemical assay was performed in triplicate for each donor sample.

Experimental design. For the experimental assays, human erythrocytes and plasma samples were incubated with the essential oils at the following ratios: 1:9, 1:99, and 1:999 (v/v). All incubations were performed in a final assay volume of 2.5 ml. Depending on the density of the individual oils, the ratios 1:9, 1:99 and 1:999 corresponded to final EO concentrations of 100 µL/mL (88-94 mg/mL), 10 µL/mL (8.8-9.4 mg/mL) and 1 µL/mL (0.88-0.94 mg/mL), respectively. As EOs are hydrophobic, the oils were first dissolved in 0.1% dimethyl sulfoxide (DMSO) to create stock solutions, which were then diluted in phosphate buffer (4 mM, pH 7.4) to achieve the desired final concentrations. The final DMSO content in all samples, including vehicle controls, did not exceed 0.01% for the 1:9 ratio, 0.001% for the 1:99 ratio, and 0.0001% for the 1:999 ratio. This was confirmed not to affect erythrocyte stability. Independent control experiments demonstrated that 0.01% DMSO had no statistically significant effect on erythrocyte stability, lipid peroxidation (TBARS), protein carbonylation, antioxidant enzyme activity or total antioxidant capacity (P > 0.05 vs. untreated controls; see Supplementary Table S1 for data).
For the 2.5 ml incubation volume, the mixtures were prepared as follows: for the 1:9 ratio, 0.25 mL of the oil solution was combined with 2.25 mL of the erythrocyte suspension or plasma; for the 1:99 ratio, 25 µL of the oil solution was mixed with 2.475 mL of the sample; and for the 1:999 ratio, 2.5 µL of the oil solution was added to 2.4975 mL of the sample. For the 1:999 ratio, the stock solution was pre-diluted 1:10 to improve pipetting accuracy.
The mixtures were gently agitated in a Thermomixer at 37°C and 75 rpm for 60 minutes to ensure homogeneity and prevent sedimentation. The vehicle controls consisted of erythrocytes or plasma incubated with phosphate buffer containing the final desired concentration of DMSO. Following the incubation, erythrocyte and plasma samples were collected and processed for subsequent biochemical analysis.

Reagents. All chemicals were of analytical grade. The main reagents used in biochemical assays were purchased from Sigma-Aldrich (Merck, Darmstadt, Germany): 2-thiobarbituric acid, trichloroacetic acid, 2, 4-dinitrophenylhydrazine, ABTS, potassium persulfate, hydrogen peroxide, Trolox, p-phenylenediamine, and sodium chloride. Other chemicals and solvents were obtained from Thermo Fisher Scientific (Waltham, USA) and POCH (Gliwice, Poland).
Lipid peroxidation (TBARS assay). Lipid peroxidation was assessed by quantifying 2-thiobarbituric acid-reactive substances (TBARS), primarily malondialdehyde (MDA), using Buege and Aust's method (1978) [51] with slight modifications. In brief, 0.1 ml of the sample was mixed with 2.0 ml of distilled water and 2.0 ml of TBA reagent consisting of 15% trichloroacetic acid (TCA), 0.375% 2-thiobarbituric acid (TBA), and 0.25 N hydrochloric acid (HCl). The samples were then incubated in a boiling water bath at 95°C for 15 minutes, cooled on ice, and centrifuged at 3, 000 rpm for 10 minutes. The absorbance of the resulting supernatant was measured at 532 nm using a spectrophotometer. The MDA concentration, which indicates the extent of lipid peroxidation, was calculated using a molar extinction coefficient of 1.56 × 105 M⁻¹·cm⁻¹.

Protein oxidation (DNPH assay for carbonyl groups). The degree of protein oxidation was determined by measuring the carbonyl content through a reaction with 2, 4-dinitrophenylhydrazine (DNPH) according to the method described by Levine et al. (1990) [52] with slight modifications. In brief, 0.1 ml of the sample was mixed with 0.5 ml of 10 mM DNPH in 2 N hydrochloric acid (HCl). The samples were then incubated at room temperature for one hour with intermittent vortexing. After the incubation, the proteins were precipitated using 20% TCA and the mixture was centrifuged at 10, 000 rpm for 10 minutes. The resulting pellet was washed three times with a 1:1 (v/v) ethanol:ethyl acetate mixture to remove excess DNPH and was then dissolved in 6 M guanidine hydrochloride. The absorbance of the resulting hydrazone derivatives was measured at 370 nm and 430 nm using a spectrophotometer. The carbonyl content was then calculated using an extinction coefficient of 22, 000 M⁻¹·cm⁻¹ and expressed in nmol/mL.
Total Antioxidant Capacity (ABTS Assay). Total antioxidant capacity (TAC) was measured using the ABTS (2, 2′-azino-bis(3-ethylbenzothiazoline-6-sulphonic acid)) radical cation decolourisation assay according to the method described by Miller et al. (1993) [53]. The ABTS radical cation (ABTS⁺) was generated by incubating a 7 mM ABTS solution with 2.45 mM potassium persulfate for 12-16 hours in the dark at room temperature. The resulting ABTS⁺ solution was diluted with phosphate-buffered saline (PBS) to obtain an absorbance of 0.70 ± 0.02 at 734 nm. Next, 20 µL of the sample was mixed with 980 µL of the ABTS⁺ solution, incubated for 6 minutes at room temperature, and the absorbance was measured at 734 nm. The antioxidant capacity was calculated based on a Trolox standard curve and expressed as µmol Trolox equivalents per mL.

Catalase activity. Catalase (CAT) activity was determined by measuring the decomposition of hydrogen peroxide (H2O2) according to the method described by Claiborne (1985) [54]. Briefly, 50 µL of the sample was added to 2.95 mL of phosphate buffer (50 mM, pH 7.0) containing 15 mM H₂O₂. The decrease in absorbance was recorded at 240 nm for 1 minute using a spectrophotometer. One unit of catalase activity was defined as the amount of enzyme required to decompose 1 µmol of H2O2 per minute per mL.

Ceruloplasmin concentration. The concentration of ceruloplasmin in serum was determined with a colourimetric method based on its oxidase activity towards p-phenylenediamine (PPD) as a substrate. The rate of PPD oxidation to a coloured product was measured spectrophotometrically at 546 nm. The intensity of the colour developed was directly proportional to the ceruloplasmin concentration in the sample. Ceruloplasmin activity was expressed in mg/mL using a calibration curve constructed from known ceruloplasmin concentrations according to the method described by Ravin (1961) [55].

Spontaneous haemolysis. The degree of spontaneous haemolysis was assessed by measuring the release of haemoglobin from erythrocytes into plasma in in vitro conditions, without the use of haemolytic agents. Blood samples were centrifuged to separate the plasma, and the erythrocytes were incubated in physiological conditions at 37°C for 24 hours. Following the incubation, the supernatant was collected by centrifugation, and its absorbance was measured spectrophotometrically at 540 nm. Haemolysis was expressed as a percentage of spontaneous haemolysis relative to the total haemolysis induced by erythrocyte lysis in distilled water according to the method described by Kamyshnikov (2004) [56].

Osmotic fragility test. The osmotic fragility of erythrocytes was evaluated as in Mariańska et al. (2003) with minor modifications [57]. In brief, a series of sodium chloride (NaCl) solutions ranging from 0.00% to 0.90% (w/v) were prepared by diluting isotonic saline with distilled water. An aliquot of blood (50 µL) was added to 5.0 mL of each NaCl solution, mixed thoroughly, and incubated at room temperature for 30 minutes. Distilled water served as the control for 100% haemolysis.
Following the incubation, the samples were centrifuged at 1, 500 g for five minutes to sediment intact erythrocytes. The resulting supernatant was carefully collected and the absorbance measured spectrophotometrically at 540 nm. The percentage of haemolysis was calculated relative to the controls. Haemolysis curves were plotted as a function of NaCl concentration to determine the onset and completion of haemolysis.

Statistical analysis. Statistical analyses were performed using Statistica 13.3 software (TIBCO Software Inc., Palo Alto, USA). Normality of data distribution was assessed using the Kolmogorov-Smirnov test, and homogeneity of variances was evaluated with Levene's test [58, 59]. Data that did not meet the assumptions of parametric tests were logarithmically transformed prior to further analysis.
All results are expressed as the mean ± standard deviation (S.D.) for n = 8 independent biological replicates. One-way analysis of variance (ANOVA) was employed to evaluate differences between groups, with an F-test considered significant at P < 0.05. When ANOVA revealed significant effects, Tukey's post hoc test was used to identify specific intergroup differences. Additionally, two-tailed Student's t-tests (α = 0.05) were performed to compare control samples with each EO treatment at different concentrations. Variability and the effect size were assessed using coefficients of variation (CV%) and Cohen's d, providing measures of reproducibility and biological relevance, respectively. Regression analyses were performed to examine concentration-dependent effects for each essential oil on oxidative stress markers and erythrocyte haemolysis. This approach allowed precise detection of biphasic or dose-dependent responses in both plasma and erythrocytes.
For osmotic haemolysis studies, the effects of each essential oil at three dilutions (1:9, 1:99, and 1:999) across a range of NaCl concentrations were evaluated using ANOVA, followed by a Tukey's post hoc test. This analysis enabled the assessment of the modulation of erythrocyte membrane stability in relation to both the oil concentration and the osmotic condition.

Results

This study investigated the effects of three EOs from the Pinaceae family: Pinus sylvestris (Scots pine), Picea abies (European spruce), and Abies alba (European silver fir) on oxidative stress markers, antioxidant capacity, enzymatic activity, and haemolytic potential in human blood. As blood plasma and erythrocytes possess distinct antioxidant systems with different mechanisms and efficiencies, separate experiments were conducted on plasma and erythrocyte suspensions to assess the effects of EOs applied at various concentrations. Each EO was tested at three dilutions (1:9, 1:99, and 1:999, v/v). The vehicle controls consisted of erythrocytes or plasma incubated with phosphate buffer. The results revealed distinct concentration-dependent biological activities for each EO, with fir essential oil exhibiting the most pronounced effects.

...

Fig. 1: Study design.


GC-MS and PTR-MS analysis. Table 1 lists the VOCs identified using GC-MS. The dominant class amongst the identified VOCs were monoterpenes, including santene, α-pinene, β-pinene, tricyclene, 2-thujene, camphene, campholenal, and borneol. In addition, the borneol ester bornyl acetate was identified. The identification of individual compounds was based on a comparison of their mass spectra with those in the NIST/EPA/NIH Mass Spectral Library as well as a comparison of their retention indices with data from the literature.
These results are consistent with the PTR-MS data, as shown in Fig. 2, which also indicate the m/z values corresponding to the major peaks originating from protonated VOCs in the spectra.

...

Table 1: Retention times (in minutes) of pine, spruce, and fir essential oil compounds


...

Fig. 2: Mass spectra (PTR-MS) of pine, spruce, and fir essential oil samples.


These values were primarily 81 (terpene fragment ions), 137 (a common m/z value for monoterpenes), 123 (santenes), 95 (an unidentified compound, most likely C₇H₁₀ or C₆H₆O), 109 (C8H12 or C7H8O), 149 (probably anethole, C₁₀H₁₂O), 151 (probably piperonal, C₈H₆O₃), 203 (possibly C₁₄H₁₈O), 205 (sesquiterpenes, such as bisabolenes, amorphenes, and cadinenes), and 221 (possibly C₁₅H₂₄O).
The mass spectrum lacks the m/z = 197 peak, which corresponds to protonated bornyl acetate. However, as demonstrated by Kim et al. (2009) [60], bornyl acetate undergoes fragmentation and is recorded at masses of 137 and 81.
Therefore, the GC-MS analysis confirmed the presence of high concentrations of the following monoterpenes in the EOs studied: α-pinene, β-pinene, borneol, and camphene. The compound identification was validated using the NIST library and by comparing the results with those of authentic analytical standards and calculated Kovats retention indices (RI). These results are consistent with the PTR-MS data and highlight a complex species-specific VOC profile, thereby supporting the potential biological and therapeutic activities of the EOs.

Fourier-transform infrared spectroscopy (FTIR) analysis. The infrared (IR) absorption spectra of the essential oils derived from pine, spruce, and fir are presented in Fig. 3. The results of the four-component decompositions of the spectra are summarised in Tables 2, 3, and 4 for pine, spruce, and fir essential oils, respectively. It should be noted that the highest decomposition fit was achieved for the pine oil sample, i.e. about 80%, while it was about 70% and 64% in the case of the spruce and fir oil samples, respectively. Therefore, to roughly estimate the percentage of detected compounds in the samples, the following equation was applied: $${{p(\%) = \frac{c(\%) \times f(\%)}{100 \%}}} \hspace{50px} \text{(2)}$$ where p is the estimated percentage of a compound in the sample, c is the contribution of the compound in the spectral decomposition (in %), and f is the decomposition fit (in %). Parameters c and f are given in Tables 2-4.

...

Fig. 3: IR absorption spectra of pine, spruce, and fir essential oil samples. Bands corresponding to different stretching vibrations are highlighted in red, green, and blue.


...

Table 2: Results of the three best variants of the four-component decomposition of IR absorption spectra of pine essential oils


...

Table 3: Results of the three best variants of the four-component decomposition of IR absorption spectra of spruce essential oils. All decomposition variants show the same components with different contents


...

Table 4: Results of the three best variants of the four-component decomposition of IR absorption spectra of fir essential oils


For the pine essential oil (Table 2), the FTIR analysis revealed that the two main components are α-pinene and (+)-β-pinene, which together account for approximately 70% of the IR spectral decomposition. According to Eq. (2), it gives the percentage of these two compounds of about 55% in the sample. These two pinenes represent a significant portion of the chemical composition of the oil. Furthermore, the analysis identified (S)-(+)-2-phenylglycine methyl ester hydrochloride, 3-carene, and d-limonene as notable components in the pine oil.
In the case of the spruce essential oil (Table 3), the main components were identified as (-)-bornyl acetate with about 24% contribution in the spectral decomposition (giving approximately 17% of the total content), α-pinene with about 28% contribution (giving approximately 20% of its content in the sample), and camphene with a percentage of about 18% estimated according to Eq. (2) based on data shown in Table 3. The spectral decomposition also revealed the presence of (s)-(+)-2-phenylglycine methyl ester hydrochloride in the spruce oil.
Finally, the FTIR analysis of the fir essential oil (Table 4) showed the presence of methyl acetate, (+)-borneol, and possibly significant amounts of 4-cyclopentene-1, 3-diol 1-acetate, d-limonene, and camphene. The organic compounds identified from the FTIR spectra are listed in Table 5, alongside those detected using alternative analytical techniques.

...

Table 5: Comparison of the results of VOC identification in essential oils using GC-MS, PTR-MS, and FTIR analysis


The FTIR spectroscopy analysis of the essential oils confirmed that the dominant components are monoterpenes, with α-pinene and β-pinene comprising approximately 55% of the pine oil. The spruce oil was found to be predominantly composed of α-pinene, (-)-bornyl acetate, and camphene, while the fir oil was found to contain methyl acetate and (+)-borneol. These findings underscore the chemical specificity of each oil type and corroborate the results obtained using complementary analytical methods.
Based on the infrared spectra decomposition analysis, the main detected components (with a content of at least 15% estimated according to Eq. (2)) are presented in Fig. 4 for each type of essential oil. To gain more insights into the chemical properties of the studied samples, the absorption bands in the infrared spectra were analysed in detail. The intensive band at about 2900 cm-1, observed in the three samples (highlighted in green in Fig. 3), corresponds to C-H stretch occurring in various organic compounds of essential oils. There are multiple maxima at this absorption band indicating symmetric and asymmetric stretching vibrations of aliphatic CH2 and CH3 groups, as typically observed in oils [50]. The broad band at 3200-3600 cm-1 was intensive in the fir oil and less intensive in the spruce oil, while it did not occur in the case of the pine oil sample (highlighted in red in Fig. 3). This band corresponds to O-H stretching vibrations. It allows concluding that the investigated pine oil sample almost does not consist of hydroxyl-containing compounds. The peak at about 1700 cm-1 corresponds to the absorption associated with the carbonyl group (highlighted in blue in Fig. 3). It is typically assigned to C=O double bond stretching vibrations. The highest intensive peak at about 1700 cm-1 was observed for the fir oil sample; it was less intensive for the spruce oil, and the least intensive band was observed for the pine oil sample. Therefore, it could be concluded that oxygen-containing compounds were found in the highest amount in the fir oil among the three studied samples (as shown in Fig. 4), and the spruce oil sample contained lower amounts of such molecules, while the pine oil was characterised by the lowest content of compounds containing oxygen species, such as hydroxyl and carbonyl groups. It should be noted that the difference between the investigated essential oils in the absorption region assigned to hydroxyl stretching vibrations (3200-3600 cm-1) can be also explained by the presence of water impurities in the samples of the spruce and fir oils. This is understandable given that the research deals with essential oils commercially available for general use. However, this explanation cannot be extended to the observed spectral differences at the region of carbonyl stretching vibrations at about 1700 cm-1 in the spectra. These differences can be explained only by variations in the amount of carbonyl containing compounds among the essential oil samples, as concluded before.

...

Fig. 4: The most abundant compounds with their percentages in pine, spruce, and fir essential oils obtained from the FTIR spectroscopic analysis. Approximate percentages were estimated using Eq. (2) by taking the mean values across all decomposition variants given in Tables 2-4. In the chemical structures, the white balls denote hydrogen, the grey balls denote carbon, the red balls denote oxygen, and the blue ball denotes nitrogen.


Other absorption peaks at lower wavenumbers in the IR spectra (not highlighted in Fig. 3) refer to other (than stretching) deformation and bending vibrations of CH bonds and the fingerprint region.

Oxidative stress markers. Lipid peroxidation, assessed by TBARS levels in human plasma and erythrocytes, was significantly affected by the three EOs (PEO, SEO, and FEO) (F11, 72 = 68.07, P < 0.001). As illustrated in Fig. 5A, FEO induced the strongest pro-oxidative effect at a dilution of 1:9, producing a twofold increase in plasma TBARS levels, compared with the control group (p < 0.01). Significant but less pronounced increases were also observed for SEO and PEO at this dilution (p < 0.05). In the erythrocytes, a clear dose-dependent pattern emerged, with TBARS levels rising progressively across the dilutions (1:9 < 1:99 < 1:999). Notably, even at 1:999, both SEO and PEO maintained significantly elevated TBARS levels relative to the control, indicating persistent oxidative stress.
Significant and persistent changes in the TBARS levels in the erythrocytes were observed throughout the experiment (F11, 72 = 72.16, P < 0.001). Enhanced lipid peroxidation was recorded after the PEO treatment at the 1:9 dilution and after the FEO treatment at the 1:99 dilution as well as after the exposure to both PEO and SEO at the 1:999 dilution, compared to the control group. The highest TBARS values were recorded at the 1:999 dilution, indicating the strongest oxidative response (Fig. 5B).

...

Fig. 5: TBARS level in human blood plasma (A) and erythrocytes (B) measured after treatment with three dilutions (1:9, 1:99, and 1:999) of essential oils from pine (PEO), spruce (SEO), and fir (FEO) in an in vitro study.* Differences were statistically significant (P < 0.05) in samples treated with EOs at a dilution of 1:9, compared to the control;** Differences were statistically significant (P < 0.05) in samples treated with EOs at a dilution of 1:99, compared to the control;*** Differences were statistically significant (P < 0.05) in samples treated with EOs at a dilution of 1:999, compared to the control.


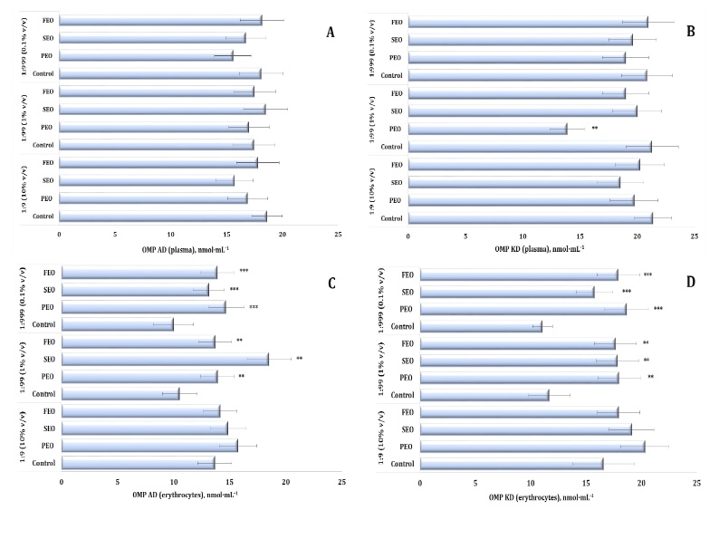
Oxidatively modified proteins (OMPs) were assessed by measuring aldehydic (OMP AD) and ketonic (OMP KD) derivatives to further characterise the oxidative effects of the conifer-derived EOs. In the plasma, no statistically significant changes were detected in the OMP AD levels, whereas the OMP KD levels were significantly affected (F11, 72 = 2.19, P = 0.029), with a marked decrease observed for PEO at the 1:99 dilution (Fig. 5A and 5B). In the erythrocytes, however, both OMP AD and OMP KD consistently increased after the treatment with the three oils, particularly at the 1:99 and 1:999 dilutions. At these concentrations, PEO, FEO, and SEO significantly elevated OMP AD levels (F11, 72 = 8.96, p < 0.001) and OMP KD (F11, 72 = 14.54, p < 0.001), compared with both the control and 1:9 dilution treatments (Fig. 6C and D).
Notably, even at the most diluted concentration (1:999), the three EOs maintained elevated levels of protein oxidation markers in the erythrocytes, highlighting their persistent pro-oxidative potential at the cellular membrane level. These findings emphasise the dual oxidative potential of conifer-derived EOs in human blood in vitro, with FEO demonstrating the strongest and most consistent pro-oxidative effects across the biomarkers and dilutions.

...

Fig. 6: Level of aldehydic and ketonic derivatives of oxidatively modified proteins in human blood plasma (A, B) and erythrocytes (C, D) measured after treatment with three dilutions (1:9, 1:99, and 1:999) of essential oils from pine (PEO), spruce (SEO), and fir (FEO) in an in vitro study.** Differences were statistically significant (P < 0.05) in samples treated with EOs at a dilution of 1:99, compared to the control;*** Differences were statistically significant (P < 0.05) in samples treated with EOs at a dilution of 1:999, compared to the control.


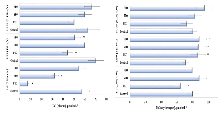
Our study demonstrated that the exposure to the three conifer-derived EOs induced oxidative stress in the human plasma, as reflected by significant alterations in total antioxidant capacity (TAC) (F11, 72 = 53.16, p = 0.000). Specifically, the plasma TAC levels were markedly reduced after the treatment with PEO and SEO at the 1:9 dilution, compared to the control group, and with PEO and FEO at 1:99 (Fig. 7A). A similar decrease was observed at a dilution of 1:99 following the administration of PEO and FEO (Fig. 6A). The TAC levels, which reflect the overall antioxidant capacity of the erythrocyte system, also showed significant variation (F11, 72 = 8.11, P = 0.000), particularly at the 1:99 dilution of the three EOs tested (Fig. 7B). Notably, the erythrocyte TAC values increased significantly following the treatment with PEO, SEO, and FEO, indicating an increase in systemic antioxidant defence mechanisms under the EO exposure.

...

Fig. 7: Total antioxidant capacity (TAC) level in human blood plasma (A) and erythrocytes (B) measured after treatment with three dilutions (1:9, 1:99, and 1:999) of essential oils from pine (PEO), spruce (SEO), and fir (FEO) in an in vitro study.* Differences were statistically significant (P < 0.05) in samples treated with EOs at a dilution of 1:9, compared to the control;** Differences were statistically significant (P < 0.05) in samples treated with EOs at a dilution of 1:99, compared to the control.


The current study evaluated the activity of catalase, one of the main enzymes in the second-line antioxidant defence system, alongside ceruloplasmin levels. Ceruloplasmin, a copper-containing acute-phase enzyme, plays an essential role in copper metabolism and increases during inflammatory processes. In addition, spontaneous haemolysis of human erythrocytes was evaluated in vitro following the EO exposure. All analyses were performed in a dose-dependent manner across three independent dilutions, with results summarised in Tables 6-8.
This study assessed the activity of catalase, a key enzyme of the secondary antioxidant defence system, together with ceruloplasmin levels. The data obtained revealed significant variations in catalase activity following the EO exposure (F11, 72 = 89.56, P = 0.000). Specifically, a statistically significant increase in catalase activity was observed in the three EO dilutions, compared with the control sample data. This suggests strong stimulation of the enzymatic antioxidant defence system by PEO. Similar upward trends were also observed for SEO and FEO (Tables 6, 7, and 8).

...

Table 6: Catalase activity (μmol H2O2·min-1·mL-1), ceruloplasmin level (g·dL-1), and spontaneous haemolysis level (%) in human blood measured after treatment with three dilutions (1:9, 1:99, and 1:999) of pine essential oil (PEO) in an in vitro study. * P < 0.05 for each of the three essential oil dilutions (1:9, 1:99, and 1:999), compared to the control samples, determined by Student’s t-test


...

Table 7: Catalase activity (μmol H2O2·min-1·mL-1), ceruloplasmin level (g·dL-1), and spontaneous haemolysis level (%) in human blood measured after treatment with three dilutions (1:9, 1:99, and 1:999) of spruce essential oil (SEO) in an in vitro study. * P < 0.05 for each of the three essential oil dilutions (1:9, 1:99, and 1:999), compared to the control samples, determined by Student’s t-test


...

Table 8: Catalase activity (μmol H2O2·min-1·mL-1), ceruloplasmin level (g·dL-1), and spontaneous haemolysis level (%) in human blood measured after treatment with three dilutions (1:9, 1:99, and 1:999) of fir essential oil (FEO) in an in vitro study. * P < 0.05 for each of the three essential oil dilutions (1:9, 1:99, and 1:999), compared to the control samples, determined by Student’s t-test


The ceruloplasmin levels (F11, 72 = 12.56, P = 0.000) increased significantly following the SEO administration at a dilution of 1:99 and 1:999, compared with the untreated control group. Similarly, both FEO administration variants led to a statistically significant elevation of ceruloplasmin values in a concentration-dependent manner. This finding is particularly important, as ceruloplasmin not only reflects copper metabolism but also acts as an acute-phase protein and an important antioxidant, providing additional insight into the systemic response to essential oils.
Additionally, multidirectional effects on spontaneous haemolysis were observed following the EO exposure (F11, 72 = 492.09, P = 0.000). PEO induced the highest haemolysis at the 1:9 dilution while significantly reducing it at 1:99 and 1:999 (F11, 72 = 492.09, p < 0.001; Table 6). Conversely, SEO caused a significant increase in spontaneous haemolysis at 1:9 and 1:99 but contributed to a reduction at 1:999 (Table 7). In contrast, FEO showed a clear dose-dependent pattern, with erythrocyte haemolysis decreasing progressively as the concentration declined, suggesting a potential membrane-stabilising effect at lower doses (Table 8).
Taken together, these analyses highlight the importance of both the type and concentration of essential oil in modulating oxidative stress markers, particularly ceruloplasmin levels and spontaneous haemolysis in erythrocytes. Therefore, the results indicate that essential oils can significantly influence oxidative cellular processes, suggesting potential therapeutic applications in the management of inflammatory and oxidative stress-related conditions. In summary, the analysis of the VOCs in the conifer-derived EOs revealed that the predominant constituents identified by GC-MS were monoterpenes, primarily α-pinene, β-pinene, and borneol, consistent with previous studies.
Further confirmation of the presence of the two main compounds in conifer-derived EOs, α-pinene and β-pinene, was provided by the FTIR analysis, with these two compounds significantly contributing to the absorption spectrum. In contrast, SEO was characterised by the presence of α-pinene and (–)-bornyl acetate, while FEO was distinguished by the presence of methyl acetate and (+)-borneol. This compositional diversity demonstrates that despite the dominance of monoterpenes, each oil type has a unique chemical fingerprint that may directly relate to distinct biological responses.
The biochemical assays demonstrated that these EOs exerted dose-dependent effects on the human plasma and erythrocytes, notably influencing lipid peroxidation, oxidative modification of proteins, and total antioxidant capacity (TAC). They stimulated lipid peroxidation and protein derivative modification (both aldehyde and ketone types) while reducing plasma TAC. These effects are consistent with the biphasic nature of EOs, which act as antioxidants at lower concentrations but display pro-oxidative activity at higher doses.
Additionally, the EO exposure also significantly increased catalase activity and ceruloplasmin levels. This indicates a systemic oxidative stress response. The EOs also induced haemolysis in erythrocytes, providing further evidence of their pro-oxidative effects at higher concentrations. The EO exposure also significantly increased catalase activity and ceruloplasmin levels, indicating a systemic oxidative stress response. Furthermore, enhanced erythrocyte haemolysis was observed, supporting the pro-oxidant potential of EOs at higher concentrations.

NaCl-induced haemolysis. The effects of PEO on erythrocyte haemolysis were assessed at different dilutions (1:9, 1:99, and 1:999) across a range of NaCl concentrations (0.9-0%). As expected, the control group (without PEO) exhibited a pattern of osmotic haemolysis characterised by minimal haemolysis at physiological NaCl concentrations (0.9-0.6%), followed by a sharp increase at 0.5-0.3% NaCl and complete haemolysis at 0% NaCl.

...

Fig. 8: Level of erythrocyte haemolysis (B) measured after treatment with three dilutions (1:9, 1:99, and 1:999) of essential oils from pine (PEO), spruce (SEO), and fir (FEO) in an in vitro study.


In the presence of PEO, however, the haemolysis profile was altered in a concentration- and dilution-dependent manner. In isotonic and mildly hypotonic conditions (0.9-0.6% NaCl), the 1:9 dilution markedly increased haemolysis, compared with the control group (e.g., 10.11% vs. 0.21% at 0.9% NaCl and 43.07% vs. 2.83% at 0.6% NaCl), indicating enhanced membrane destabilisation. The 1:99 and 1:999 dilutions also promoted haemolysis at these NaCl concentrations, although to a lesser extent than the 1:9 dilution. At 0.5% NaCl, haemolysis in the control group reached 27.67%, whereas all PEO dilutions induced higher levels of lysis: 44.66% for 1:9, 19.75% for 1:99, and 25.94% for 1:999, thereby confirming the pro-haemolytic effect of PEO under moderate osmotic stress. At 0.4% NaCl, haemolysis was already elevated in the control group (87.32%), and PEO produced variable effects. The 1:9 and 1:99 dilutions slightly reduced haemolysis to 75.23% and 74.20%, respectively, whereas the 1:999 dilution still promoted lysis, reaching 31.61%. These results demonstrate a concentration-dependent dual action of PEO. In strongly hypotonic conditions (0.3-0.1% NaCl), both the control and the PEO-treated groups approached maximum haemolysis (>80-96%), with only minor differences between the treatments. At complete osmotic lysis (0% NaCl), all groups reached 100% haemolysis. In summary, PEO displayed a biphasic effect on erythrocyte membrane stability. In isotonic and moderately hypotonic conditions, particularly at higher concentrations, PEO significantly enhanced haemolysis, indicating increased membrane fragility. By contrast, in strongly hypotonic conditions, its impact diminished and, in some cases, partial protective activity against lysis was evident.
The presence of SEO significantly affected erythrocyte stability, particularly at higher concentrations. In isotonic conditions (0.9% NaCl), haemolysis remained low in the control group (0.21%) but increased markedly across all SEO dilutions: 25.71% (1:9), 22.01% (1:99), and 9.21% (1:999). A similar trend was observed in mildly hypotonic conditions (0.8-0.6% NaCl), where haemolysis increased in all dilutions, compared to the control. For example, at 0.7% NaCl, the control sample exhibited 1.57% haemolysis, whereas the 1:9, 1:99, and 1:999 dilutions produced 30.91%, 27.21%, and 4.83% haemolysis, respectively. At 0.5% NaCl, SEO further amplified haemolysis (42.86%, 35.79%, and 11.85%, compared with 27.67% in the control), confirming its destabilising action under moderate osmotic stress. At 0.4% NaCl, haemolysis in the control reached 87.32%. The 1:9 dilution caused an even greater lysis (90.13%), while the 1:99 and 1:999 dilutions reduced it slightly (to 71.34% and 60.18%, respectively), suggesting a partial concentration-dependent protective effect. In stronger hypotonic conditions (0.3-0.1% NaCl), both the control and the SEO-treated groups exhibited extensive haemolysis (>90%). Nevertheless, some differences were noted: the 1:9 dilution showed slightly reduced values, compared to the control group (e.g. 91.69% vs. 93.50% at 0.3% NaCl), while the 1:999 dilution displayed inconsistent results, providing partial protection at 0.3-0.2% NaCl but producing higher haemolysis at 0.1% NaCl (99.88%). Complete lysis (100%) occurred in all groups at 0% NaCl.
In summary, SEO markedly enhanced haemolysis in isotonic and moderately hypotonic conditions, particularly at higher concentrations, indicating pronounced membrane-destabilising activity. Under more severe osmotic stress, however, SEO exhibited mixed effects: partial protective properties were observed at intermediate dilutions, but there was no significant impact in the conditions of complete lysis.
By contrast, the addition of FEO markedly altered the haemolysis patterns, particularly at higher concentrations. At the NaCl concentration of 0.9%, haemolysis in the control group was minimal (0.21%) but increased substantially in the presence of FEO: 25.66% (1:9), 15.67% (1:99), and 7.95% (1:999). A similar trend was observed at 0.8-0.6% NaCl, where all dilutions promoted significantly greater haemolysis, compared with the control. For example, at 0.6% NaCl, haemolysis reached 53.67%, 21.66%, and 15.68% in the FEO groups, versus only 2.83% in the control.
At 0.5% NaCl, the control group exhibited 27.67% haemolysis; however, the 1:9 dilution of FEO produced a dramatic increase of 83.43%, The 1:99 and 1:999 dilutions caused more moderate increases, reaching 24.54% and 19.66%, respectively. At 0.4% NaCl, haemolysis in the control group was 87.32%. The 1:9 dilution produced a comparable value (85.78%), while the 1:99 and 1:999 dilutions reduced haemolysis slightly to 60.37% and 72.5%, respectively, suggesting concentration-dependent modulation of erythrocyte lysis. In more hypotonic conditions (0.3-0.1% NaCl), haemolysis exceeded 89% in all groups. The 1:99 dilution consistently yielded higher values (95.28-99.08%), while the 1:999 dilution produced results similar to the control. Complete haemolysis (100%) was observed at 0% NaCl in all conditions. In summary, FEO exerted a strong pro-haemolytic effect at isotonic and moderately hypotonic NaCl concentrations, particularly at the highest concentration (1:9 dilution), which induced markedly greater membrane fragility. In more extreme hypotonic conditions, however, its influence was less pronounced and, at certain dilutions, even exhibited partial protective effects.

Discussion

This study provides new insights into the effects of conifer-derived EOs on oxidative stress markers, antioxidant responses, and erythrocyte stability in human blood in vitro. By integrating chemical characterisation with biochemical assays, clear relationships were established between the VOC profiles of these essential oils and their diverse biological effects. This comprehensive approach underscores the bioactive potential of conifer-derived EOs, highlighting their dual antioxidant and pro-oxidant activities in a concentration- and composition-dependent manner. Notably, these in vitro findings offer a valuable basis for assessing the therapeutic potential and safety profiles of EOs prior to their potential application in preclinical and clinical studies.

Comprehensive chemical analyses using GC-MS, PTR-MS, and FTIR confirmed the terpene-rich composition of the three EOs, in line with previous reports on coniferous species [7, 60-62]. The major constituents identified were α-pinene, β-pinene, borneol, camphene, and limonene although each oil type exhibited a distinct profile. SEO was characterised by elevated levels of (–)-bornyl acetate, FEO contained (+)-borneol and methyl acetate, while PEO was particularly rich in α-pinene and β-pinene. These compositional differences likely explain the variability observed in oxidative and haemolytic responses. Notably, several of these compounds, including α-pinene, p-cymene, and borneol, are well known for their antioxidant, anti-inflammatory, and antimicrobial properties [63-65] (Table 9). Thus, the chemical heterogeneity of the oils provides a mechanistic basis for understanding their biological diversity. The overlap between our findings and those of previous chemical and functional studies highlights the consistency of bioactive terpenes in conifer-derived EOs from a chemotaxonomic perspective.

...

Table 9: Identification of antioxidant compounds in essential oils. The identification techniques used are specified below: GC-MS (gas chromatography–mass spectrometry) and FT-IR (Fourier-transform infrared spectroscopy). Note: It should be noted that PTR-MS (proton transfer reaction–mass spectrometry) was also applied; this technique allows the mass of compounds to be defined, but not their structure. Therefore, this technique is not included in the table because the determined masses do not unambiguously define the compounds. The results of the PTR-MS analysis are discussed in the corresponding chapter


The results of the present study clearly indicate that the three conifer-derived EOs tested significantly impact the oxidative–antioxidative balance in human blood in vitro, albeit in a complex manner. Marked stimulation of lipid peroxidation and oxidative protein modification was detected, confirming the pro-oxidative potential of the oils, which were most pronounced for FEO. At the same time, compensatory responses to oxidative stress were triggered, including enhanced catalase activity and elevated ceruloplasmin levels, suggesting an adaptive role under increased oxidative stress. These dual effects emphasise the hormetic nature of EO activity: low doses may trigger beneficial adaptive responses, whereas high doses can cause damage [78]. These findings underscore the biphasic nature of EO activity, which may exert either pro- or antioxidant effects, depending on the concentration.

The observed changes in erythrocyte haemolysis further confirm that the tested EOs influence cell membrane integrity in a concentration- and type-dependent manner. In isotonic and moderately hypotonic conditions, enhanced haemolysis was evident, indicating EO-induced enhancement of membrane fragility. Conversely, in strongly hypotonic NaCl conditions, partial protective effects were observed. These results imply that the biological activity of EOs is not unidirectional but rather modulated by both environmental conditions and the concentration, which may hold significance for their therapeutic application. The present data highlight the dual nature of the essential oils under investigation – their ability to induce oxidative stress while simultaneously activating cellular defence systems. This duality is consistent with earlier reports indicating that α-pinene, borneol, and related monoterpenes can exert protective effects, depending on the dose and the cellular context [67, 72, 79]. Therefore, precise dosage control and a thorough understanding of the biological context in which they act are required for the therapeutic use of these EOs.

The present study demonstrated that all the conifer-derived EOs tested exerted concentration-dependent effects on oxidative stress, antioxidant capacity, enzymatic activity, and erythrocyte stability, with clear differences between plasma and erythrocyte responses. For PEO, lipid peroxidation markers increased markedly across the dilutions in both plasma and erythrocytes, accompanied by moderate-to-high variability (coefficient of variation (CV% = 8.5-22%) and substantial effect sizes (Cohen’s d = 0.8-1.8). Protein oxidation increased moderately in the erythrocytes, while changes in the plasma were less pronounced. Plasma TAC showed a pronounced decrease, particularly at a dilution of 1:9 (CV% <10%, d >1.0), whereas erythrocyte TAC was less affected. Catalase activity fluctuated without a clear dose–response pattern (CV% = 15–20%, d <0.3). The most striking finding emerged from the haemolysis assay, where PEO induced a strong dose-dependent disruption of erythrocyte membranes, exceeding 50% at high concentrations, with low variability (CV% <12%) and very large effect sizes (d >2.0). These results confirm the potent membrane-damaging potential of PEO. The high potency of PEO suggests that it could be of particular biomedical interest. However, it also raises concerns about its cytotoxicity at elevated concentrations.

By comparison, SEO also induced a significant redox imbalance, albeit with slightly lower intensity. Plasma TBARS increased markedly at a dilution of 1:9 (CV% = 10-14%, d = 1.0-1.5), while the highest increase in erythrocyte TBARS was observed at a dilution of 1:99, with greater variability (CV% = 17-21%) but still large effect sizes (d > 0.9). Protein oxidation was more evident in the erythrocytes than in the plasma. Meanwhile, TAC decreased consistently in the plasma (CV% <10%, d = 1.1-1.6), confirming strong suppression of the antioxidant potential. Catalase activity varied moderately (CV% = 14-18%, d <0.4), suggesting limited enzymatic contribution. Haemolysis increased in a dose-dependent manner, reaching 30-40% at higher concentrations (CV% = 9-13%, d >1.8), indicating biologically relevant, yet less severe, membrane destabilisation than with PEO. Thus, although SEO demonstrated significant oxidative effects, its overall cytotoxicity appears to be relatively mild.

FEO exhibited moderate effects, with plasma TBARS levels significantly increasing at a 1:9 dilution (CV% = 9-13%, d = 1.0-1.4), while erythrocyte TBARS levels peaked at intermediate concentrations (CV% = 16-20%, d = 0.7-1.0). Protein oxidation was minimal (CV% = 5-9%, d = 0.2-0.4) and plasma TAC notably decreased at higher concentrations (CV% <10%, d >1.0), whereas erythrocyte TAC remained relatively stable. Catalase activity fluctuated inconsistently (CV% = 15-19%, d <0.3). Haemolysis increased gradually, reaching 20–30% at the highest concentrations (CV% = 8-11%, d >1.5), indicating weaker, yet reproducible, erythrocyte destabilisation, compared to PEO and SEO. Overall, these results suggest that FEO may be the safest of the tested oils in terms of redox balance and cytotoxicity.

These results highlight a clear hierarchy of pro-oxidant and cytotoxic potential, with PEO exerting the strongest impact on redox balance and erythrocyte integrity, followed by SEO and, finally, FEO. While the three EOs exhibited some antioxidant properties, their higher concentrations disrupted oxidative homeostasis and promoted haemolysis, underscoring the delicate balance between beneficial and pro-oxidant effects in biological systems. This ranking of activities is consistent with previous comparative studies of Pinaceae EOs, which further supports the reliability of the present findings [3].

Further evidence for this dualistic activity was provided by the assessment of enzymatic defences. The exposure to the three EOs, particularly PEO, significantly enhanced catalase activity in the plasma, suggesting an adaptive response to elevated oxidative stress. Likewise, the elevated ceruloplasmin levels following the EO treatment indicate the activation of systemic antioxidant pathways [80]. This finding is consistent with previous reports demonstrating that ceruloplasmin plays a pivotal role in maintaining redox balance and iron metabolism, particularly in pathological conditions in which oxidative stress is a primary driver [81, 82]. It should be emphasised that such enzymatic responses are a fundamental protective mechanism of the organism, designed to counteract cellular damage caused by ROS [83]. Such compensatory mechanisms may explain the paradoxical coexistence of antioxidant and pro-oxidant markers observed in our data.

Moving on to the cellular effects of systemic enzymatic defences, the erythrocyte haemolysis assays provided valuable insights into the interaction of EOs with biological membranes. Increased haemolysis at isotonic and moderately hypotonic NaCl concentrations suggests that high concentrations of EOs destabilise membranes, potentially via oxidative modification of proteins and lipids [84]. Interestingly, under extreme hypotonic stress, protective effects were occasionally observed, reflecting a biphasic environment-dependent action. The dose-dependent shifts in haemolytic behaviour, particularly evident with SEO and FEO, demonstrate that subtle compositional differences among conifer-derived EOs can yield distinct biological effects. This biphasic nature highlights the importance of combining biochemical data and functional assays to gain a comprehensive understanding of EO bioactivity [85].

Several studies have highlighted the chemical diversity and bioactive potential of EOs derived from species of the Pinaceae family. Xie et al. (2015) reported that the EOs of six Chinese Pinus taxa were primarily composed of α-pinene, β-caryophyllene, and bornyl acetate, and exhibited significant antioxidant activity in DPPH, FRAP, and ABTS assays [86]. Similarly, Bonikowski et al. (2015) demonstrated that oils of Polish Pinus uncinata and P. uliginosa needles were rich in monoterpenes, with bornyl acetate and α-pinene being the main constituents [87]. They also noted considerable variation in secondary metabolites, such as limonene, myrcene, germacrene D, and δ-cadinene. More recently, Dakhlaoui et al. (2023) confirmed that oils from Pinus halepensis in Tunisia display strong antioxidant, anti-inflammatory, and α-glucosidase inhibitory activities, alongside cytotoxic effects against MCF-7 cells [88]. These examples clearly demonstrate that phytochemical profiles are influenced by genetic and taxonomic factors as well as geographic origin, climate, soil type, and seasonal variations [7]. These findings underscore the impact of geographic and environmental factors on the oil composition and biological properties.

In addition to Pinus spp., the EOs from Picea abies and Abies alba also demonstrated considerable bioactivity. Sandulovici et al. (2024) reported that vegetative buds from Romanian spruce had high concentrations of phenolic compounds and EO constituents, including D-limonene, α-cadinol, and δ-cadinene [89]. These compounds impart significant antioxidant and antimicrobial properties. Garzoli et al. (2021) compared the liquid and vapour phases of Picea abies and Abies alba oils, revealing that the vapour phase exhibited stronger antibacterial activity [3]. Meanwhile, Pinus mugo oils demonstrated the highest antioxidant capacity, with α-pinene identified as a key bioactive compound. Furthermore, Postu et al. (2019) demonstrated that Pinus halepensis oil reduced amyloid beta-induced oxidative stress and memory impairment in a rat model, suggesting potential neuroprotective properties [90]. This neuroprotective potential is of particular interest, given the increasing demand for natural compounds that can counteract neurodegenerative processes [91]. Taken together, these findings highlight the rich chemical diversity of Pinaceae EOs and their multifaceted bioactivities, including antioxidant, antimicrobial, anti-inflammatory, and neuroprotective properties.

The broader biomedical relevance of these findings is supported by converging evidence from other studies. For instance, pine-derived oils have been demonstrated to inhibit bacterial virulence [92], suppress the production of inflammatory cytokines [93], and accelerate wound healing [14, 16]. Similarly, spruce and fir oils exhibit antimicrobial, anti-inflammatory, and antiviral properties [17, 94]. The presence of overlapping bioactive terpenes, such as α-pinene, borneol, and bornyl acetate, across these studies reinforces their conserved functional roles. At the same time, the variation in the EO composition due to environmental, seasonal, and methodological factors underscores the necessity for standardisation and comprehensive chemical characterisation in future applications. Without harmonisation, the reproducibility of research related to EO could be limited [7, 95].

Although the antioxidant properties of plant polyphenols are well documented, EOs represent a comparatively less extensively explored yet highly relevant class of natural products with redox-modulating potential [96]. Importantly, the effects of EOs on oxidative processes are often dualistic and strongly concentration dependent. At low doses, they can scavenge ROS, enhance enzymatic antioxidant defences, and stabilise membranes. By contrast, at higher concentrations, they may disrupt membrane integrity, induce lipid peroxidation, and exacerbate oxidative stress [83, 97]. This dualism reflects a hormetic mechanism, whereby low doses have a protective effect, whereas high doses are harmful. This phenomenon is becoming increasingly recognised in toxicology and pharmacology [98]. This bidirectional activity underscores the complexity of EO bioeffects and highlights the necessity of carefully designed experimental approaches to fully characterise their pharmacological potential.

Chemical analysis confirmed that the dominant terpenes in the oils that were tested were α-pinene, β-pinene, borneol, camphene and limonene. These lipophilic monoterpenes can readily partition into erythrocyte membranes, where they alter lipid packing and bilayer fluidity, thereby affecting redox homeostasis [99, 100]. For example, α-pinene and limonene are known to modulate membrane permeability and stimulate reactive oxygen species (ROS) generation through mitochondrial and NADPH oxidase-related pathways [101, 102]. In contrast, oxygenated terpenes such as borneol and bornyl acetate can stabilise lipid bilayers and scavenge free radicals, thereby contributing to the observed adaptive antioxidant responses [103]. These differential interactions at the lipid–water interface provide a mechanistic explanation for the biphasic redox effects observed in this study: low concentrations enhance antioxidant defences, whereas higher concentrations induce oxidative damage.

Enhanced lipid peroxidation and oxidative protein modification, particularly in PEO-treated samples, suggests that certain terpenes can promote membrane oxidation and fragility. This may be due to direct radical formation at the lipid surface or indirect oxidative signalling through ROS-mediated cascades [104]. The concurrent activation of catalase and increased ceruloplasmin levels suggest that erythrocytes and plasma proteins are attempting to counterbalance this oxidative challenge. These compensatory effects illustrate a hormetic pattern, whereby mild oxidative stress triggers endogenous defences while excessive exposure results in cellular damage [78].

Haemolysis assays also supported this dualistic activity. Enhanced lysis in isotonic and mildly hypotonic conditions indicates membrane destabilisation via oxidative lipid perturbation. In contrast, partial protection under strongly hypotonic stress may reflect a membrane-stiffening effect induced by specific oxygenated terpenes [105]. Therefore, the biological outcome depends not only on the concentration of the essential oil, but also on the physicochemical environment and the composition of the terpenes. Previous studies have reported similar biphasic phenomena for monoterpenes of the Pinaceae family, confirming that subtle structural differences can significantly impact redox and cytotoxic behaviour [87, 88].

Recent reviews and experimental studies confirm that EOs may exert either antioxidant or pro-oxidant effects, depending on their composition, concentration, and the cellular model used, thereby highlighting their inherently dualistic nature [106]. Modulation of the redox balance represents a promising strategy for overcoming therapy resistance in cancer treatment. For instance, several essential oils, including those derived from Pinaceae, have been shown to trigger ROS-dependent apoptosis and may potentially enhance tumour sensitivity to conventional therapies [107-110]. This aligns with the broader trend of exploring phytochemicals as adjuvants in oncology. This approach recognises that natural compounds can enhance the efficacy of standard treatments while reducing side effects [111]. Although the research on the use of EOs as anticancer agents is relatively recent, it is noteworthy that nearly half of conventional chemotherapeutic agents are of plant origin, with approximately 25% being directly derived from plants and another 25% representing chemically modified versions of plant products [112]. These complex and interdependent mechanisms have prompted researchers to explore these effects in a physiologically relevant context, with in vitro models based on human blood gaining increasing importance.

This study was conducted exclusively in vitro using human blood, without cytotoxicity or cell viability assays. Variability between donors may have influenced some biochemical parameters, so these results should be interpreted with caution. Further ex vivo or in vivo models are required to validate the suggested redox-modulatory mechanisms. While the data highlight the redox-modulating and membrane-active potential of conifer EOs, any clinical extrapolation remains premature. The dual antioxidant–pro-oxidant nature of these compounds means that their therapeutic application will require precise dose control and rigorous toxicological evaluation, so establishing safe and effective therapeutic windows should be prioritised before considering human use.

Thus, these findings emphasise the complex and multifaceted biological activity of Pinaceae EOs. While they exhibit promising antioxidant and cytoprotective properties, their capacity to induce oxidative protein modifications and haemolysis at higher concentrations highlights the importance of appropriate dosing. The balance between beneficial and harmful effects is determined by their chemical composition and concentration [113]. Therefore, establishing safe and effective therapeutic windows through dose-response studies and clinical trials is a critical step before considering clinical application [114]. This underscores the need for carefully defined dosing strategies and further mechanistic studies to determine the thresholds at which the antioxidant benefits outweigh the pro-oxidant risks. Such efforts will be critical to ensuring the safe and effective use of Pinaceae EOs in biomedical contexts.

Conclusion

This study demonstrated that conifer-derived EOs exhibit complex concentration-dependent biological activities in human plasma and erythrocytes in vitro. While the three oils were dominated by similar terpenes, i.e. α-pinene, β-pinene, borneol, and bornyl acetate, their distinct chemical profiles produced different biological outcomes. Based on the multi-component decomposition of infrared (FTIR) spectra, it was found that α-pinene and β-pinene constituted approximately 55% of PEO, α-pinene, (-)-bornyl acetate, and camphene were predominant in SEO, and FEO contained methyl acetate and (+)-borneol. Additionally, the infrared spectroscopic measurements clearly indicate that the PEO sample is characterised by the lowest content of compounds with hydroxyl and carbonyl groups among the three samples.

These findings confirm that even subtle variations in the proportions of shared constituents can profoundly modulate redox balance and cellular responses. At lower concentrations, the oils predominantly acted as antioxidants and cytoprotective agents. They reduced lipid peroxidation and, in some cases, stimulated enzymatic defences such as catalase activity. The modulation of ceruloplasmin levels observed in this study suggests that conifer-derived EOs may influence systemic antioxidant pathways beyond direct radical scavenging. These effects are consistent with previous reports that monoterpenes enhance endogenous antioxidant defences, supporting the potential of these oils to modulate oxidative stress naturally. However, the protective effects diminished with the increasing concentration, revealing a clear biphasic pattern of activity. At higher doses, the oils exhibited pro-oxidant properties, as evidenced by increased protein oxidation, reduced plasma antioxidant capacity, and significant erythrocyte haemolysis. This dual behaviour reflects the concentration-sensitive nature of terpenes: in mild oxidative conditions, they function as antioxidants, whereas at higher concentrations they switch to pro-oxidants, potentially via redox cycling and membrane destabilisation.

Despite their shared mechanisms, notable differences emerged between the three oils. FEO exhibited the strongest pro-oxidant and haemolytic effects, indicating a higher cytotoxic potential that could restrict its safe application range. In contrast, PEO strongly stimulated antioxidant enzyme activity, suggesting a greater capacity to boost enzymatic defences at sub-cytotoxic concentrations. SEO exerted a particularly pronounced effect on erythrocyte membrane stability, suggesting specific interactions between its dominant terpenes and membrane lipids. These observations emphasise the vital role of the chemical composition in shaping biological outcomes, highlighting the necessity of precise chemical characterisation when evaluating the bioactivity of natural products. Overall, the results suggest that conifer-derived EOs hold considerable promise as natural modulators of oxidative stress and inflammation, with potential applications in biomedicine, nutrition, and pharmacology. However, their ability to induce cytotoxicity at higher doses underlines the importance of precise dosing and standardisation.

Therefore, future research should therefore aim to define safe and effective concentration ranges and elucidate the molecular mechanisms underlying their biphasic effects. Only through such an approach can their therapeutic potential be realised safely and effectively while minimising the risks associated with pro-oxidant and cytotoxic activities. The direct translation of EOs into clinical applications requires standardisation of their composition, determination of therapeutic windows (dose and duration), pharmacokinetic profiling, and the development of safe formulations with nanotechnology-based systems offering one practical approach).

Acknowledgements

Author statement
All authors agree to take responsibility for all aspects of the work, ensuring its integrity and accuracy.

Funding
This work was supported by the Pomeranian University in Słupsk, Poland.

Disclosure of AI assistance
The authors confirm that no AI tools were used when preparing this document.

Data availability
The datasets used and analysed in this study can be obtained from the corresponding author upon reasonable request.

Competing interests
The authors declare that there are no competing interests associated with the manuscript.

Authorship contribution statement
Halina Tkaczenko, Natalia Kurhaluk – Conceptualization, Investigation, Data curation, Formal analysis, Methodology, Software, Visualization, Writing – original draft, review and editing.
Tomasz Wróblewski, Paweł Mochalski – Physical and chemical analysis of essential oil composition, Visualization, Writing. Dzmitryi Ushakou – FTIR spectroscopic measurements and analysis, Visualization, Writing.
Lyudmyla Buyun – Conceptualization, Formal analysis, Visualization, Writing – original draft, review and editing. All authors have read and approved the final manuscript.

Declaration of competing interests
The authors declare that they have no competing financial interests or personal relationships that could have influenced the work reported in this paper.

References

1 Mittal, R.P.; Rana, A.; Jaitak, V. Essential Oils: An Impending Substitute of Synthetic Antimicrobial Agents to Overcome Antimicrobial Resistance. Curr. Drug Targets 2019, 20(6), 605-624 https://doi.org/10.2174/1389450119666181031122917
https://doi.org/10.2174/1389450119666181031122917
2 Cimino, C.; Maurel, O.M.; Musumeci, T.; Bonaccorso, A.; Drago, F.; Souto, E.M.B.; Pignatello, R.; Carbone, C. Essential Oils: Pharmaceutical Applications and Encapsulation Strategies into Lipid-Based Delivery Systems. Pharmaceutics 2021, 13(3), 327. https://doi.org/10.3390/pharmaceutics13030327
https://doi.org/10.3390/pharmaceutics13030327
3 Garzoli, S.; Masci, V.L.; Caradonna, V.; Tiezzi, A.; Giacomello, P.; Ovidi, E. Liquid and Vapor Phase of Four Conifer-Derived Essential Oils: Comparison of Chemical Compositions and Antimicrobial and Antioxidant Properties. Pharmaceuticals 2021, 14(2), 134. https://doi.org/10.3390/ph14020134
https://doi.org/10.3390/ph14020134
4 Bhardwaj, K.; Silva, A.S.; Atanassova, M.; Sharma, R.; Nepovimova, E.; Musilek, K.; Sharma, R.; Alghuthaymi, M.A.; Dhanjal, D.S.; Nicoletti, M.; Sharma, B.; Upadhyay, N.K.; Cruz-Martins, N.; Bhardwaj, P.; Kuča, K. Conifers Phytochemicals: A Valuable Forest with Therapeutic Potential. Molecules 2021, 26(10), 3005 https://doi.org/10.3390/molecules26103005
https://doi.org/10.3390/molecules26103005
5 Ancuceanu, R.; Anghel, A.I.; Hovaneț, M.V.; Ciobanu, A.M.; Lascu, B.E.; Dinu, M. Antioxidant Activity of Essential Oils from Pinaceae Species. Antioxidants 2024, 13(3), 286. https://doi.org/10.3390/antiox13030286
https://doi.org/10.3390/antiox13030286
6 Mirković, S.; Martinović, M.; Tadić, V.M.; Nešić, I.; Jovanović, A.S.; Žugić, A. Antimicrobial and Antioxidant Activity of Essential Oils from Selected Pinus Species from Bosnia and Herzegovina. Antibiotics 2025, 14(7), 677. https://doi.org/10.3390/antibiotics14070677
https://doi.org/10.3390/antibiotics14070677
7 Ancuceanu, R.; Hovaneț, M.V.; Miron, A.; Anghel, A.I.; Dinu, M. Phytochemistry, Biological, and Pharmacological Properties of Abies alba Mill. Plants 2023, 12(15), 2860 https://doi.org/10.3390/plants12152860
https://doi.org/10.3390/plants12152860
8 Masyita, A.; Mustika Sari, R.; Dwi Astuti, A.; Yasir, B.; Rahma Rumata, N.; Emran, T.B.; Nainu, F.; Simal-Gandara, J. Terpenes and Terpenoids as Main Bioactive Compounds of Essential Oils, Their Roles in Human Health and Potential Application as Natural Food Preservatives. Food Chem. X 2022, 13, 100217. https://doi.org/10.1016/j.fochx.2022.100217
https://doi.org/10.1016/j.fochx.2022.100217
9 Bakó, E.; Böszörményi, A.; Vargáné Szabó, B.; Engh, M.A.; Hegyi, P.; Ványolós, A.; Csupor, D. Chemometric Analysis of Monoterpenes and Sesquiterpenes of Conifers. Front. Plant Sci. 2024, 15, 1392539. https://doi.org/10.3389/fpls.2024.1392539
https://doi.org/10.3389/fpls.2024.1392539
10 Kopaczyk, J.M.; Warguła, J.; Jelonek, T. The Variability of Terpenes in Conifers under Developmental and Environmental Stimuli. Environ. Exp. Bot. 2020, 180, 104197. https://doi.org/10.1016/j.envexpbot.2020.104197
https://doi.org/10.1016/j.envexpbot.2020.104197
11 Salehi, B.; Upadhyay, S.; Erdogan Orhan, I.; Kumar Jugran, A.; Jayaweera, S.L.D.; Dias, D.A.; Sharopov, F.; Taheri, Y.; Martins, N.; Baghalpour, N.; Cho, W.C.; Sharifi-Rad, J. Therapeutic Potential of α- and β-Pinene: A Miracle Gift of Nature. Biomolecules 2019, 9(11), 738. https://doi.org/10.3390/biom9110738
https://doi.org/10.3390/biom9110738
12 Sun, S.; Yu, Y.; Jo, Y.; Han, J.H.; Xue, Y.; Cho, M.; Bae, S.J.; Ryu, D.; Park, W.; Ha, K.T.; Zhuang, S. Impact of Extraction Techniques on Phytochemical Composition and Bioactivity of Natural Product Mixtures. Front. Pharmacol. 2025, 16, 1615338. https://doi.org/10.3389/fphar.2025.1615338
https://doi.org/10.3389/fphar.2025.1615338
13 Mitić, Z.S.; Lazarević, J.; Todosijević, M.M.; Stojković, J.P.; Ivanović, S.; Nikolić, B.M.; Tešević, V.V. Essential Oil Variability in the Genetically Depauperate Mediterranean Pine Pinus pinea L. Chem. Biodivers. 2025, e00724. https://doi.org/10.1002/cbdv.202500724
https://doi.org/10.1002/cbdv.202500724
14 Süntar, I.; Tumen, I.; Ustün, O.; Keleş, H.; Akkol, E.K. Appraisal on the Wound Healing and Anti-Inflammatory Activities of the Essential Oils Obtained from the Cones and Needles of Pinus Species by In vivo and In vitro Experimental Models. J. Ethnopharmacol. 2012, 139(2), 533-540. https://doi.org/10.1016/j.jep.2011.11.045
https://doi.org/10.1016/j.jep.2011.11.045
15 Pérez-Recalde, M.; Ruiz Arias, I.E.; Hermida, É.B. Could Essential Oils Enhance Biopolymers Performance for Wound Healing? A Systematic Review. Phytomedicine 2018, 38, 57-65 https://doi.org/10.1016/j.phymed.2017.09.024
https://doi.org/10.1016/j.phymed.2017.09.024
16 Salas-Oropeza, J.; Jimenez-Estrada, M.; Perez-Torres, A.; Castell-Rodriguez, A.E.; Becerril-Millan, R.; Rodriguez-Monroy, M.A.; Jarquin-Yañez, K.; Canales-Martinez, M.M. Wound Healing Activity of α-Pinene and α-Phellandrene. Molecules 2021, 26(9), 2488. https://doi.org/10.3390/molecules26092488
https://doi.org/10.3390/molecules26092488
17 Maeda, N.; Horochi, S.; Hasegawa, Y.; Iwasaki, T.; Nakatani, N.; Miyasho, T.; Hagiwara, K.; Yokota, H.; Funatsu, Y. Decreased Immunoreactivity of Hepatitis E Virus Antigen Following Treatment with Sakhalin Spruce (Picea glehnii) Essential Oil. Chem. Biodivers. 2023, 20(4), e202200924. https://doi.org/10.1002/cbdv.202200924
https://doi.org/10.1002/cbdv.202200924
18 Yu, S.; Ma, S.; Wang, Q.; Chen, Z.; Xi, G.; An, N.; Yao, H.; Jia, T.; Zhao, X.; Yang, L. Pine Needle of Pinus koraiensis (Siebold & Zucc) Essential Oil Through Liquid Nitrogen Quick-Freezing Assisted Solvent-Free Microwave Extraction Process for Antibacterial Application. Phytochem. Anal. 2025, 36(3), 819-831. https://doi.org/10.1002/pca.3470
https://doi.org/10.1002/pca.3470
19 Liang, Z.; Yan, J.; Zhao, S.; He, L.; Zhao, X.; Cai, L.; You, C.; Wang, F. Efficient Extraction, Chemical Characterization, and Bioactivity of Essential Oil From Pine Needles. Phytochem. Anal. 2025, 36(5), 1539-1559. https://doi.org/10.1002/pca.3529
https://doi.org/10.1002/pca.3529
20 El-Tarabily, K.A.; El-Saadony, M.T.; Alagawany, M.; Arif, M.; Batiha, G.E.; Khafaga, A.F.; Elwan, H.A.M.; Elnesr, S.S.; Abd El-Hack, M.E. Using Essential Oils to Overcome Bacterial Biofilm Formation and Their Antimicrobial Resistance. Saudi J. Biol. Sci. 2021, 28(9), 5145-5156. https://doi.org/10.1016/j.sjbs.2021.05.033
https://doi.org/10.1016/j.sjbs.2021.05.033
21 Oriola, A.O.; Oyedeji, A.O. Essential Oils and Their Compounds as Potential Anti-Influenza Agents. Molecules 2022, 27(22), 7797. https://doi.org/10.3390/molecules27227797
https://doi.org/10.3390/molecules27227797
22 Spisni, E.; Valerii, M.C.; Massimino, M.L. Essential Oil Molecules Can Break the Loop of Oxidative Stress in Neurodegenerative Diseases. Biology 2023, 12(12), 1504. https://doi.org/10.3390/biology12121504
https://doi.org/10.3390/biology12121504
23 Pasqualetti, V.; Locato, V.; Fanali, C.; Mulinacci, N.; Cimini, S.; Morgia, A.M.; Pasqua, G.; De Gara, L. Comparison Between In vitro Chemical and Ex Vivo Biological Assays to Evaluate Antioxidant Capacity of Botanical Extracts. Antioxidants 2021, 10(7), 1136. https://doi.org/10.3390/antiox10071136
https://doi.org/10.3390/antiox10071136
24 González-Arostegui, L.G.; Muñoz-Prieto, A.; Tvarijonaviciute, A.; Cerón, J.J.; Rubio, C.P. Measurement of Redox Biomarkers in the Whole Blood and Red Blood Cell Lysates of Dogs. Antioxidants 2022, 11(2), 424. https://doi.org/10.3390/antiox11020424
https://doi.org/10.3390/antiox11020424
25 Maurya, P.K.; Kumar, P.; Chandra, P. Biomarkers of Oxidative Stress in Erythrocytes as a Function of Human Age. World J. Methodol. 2015, 5(4), 216-222. https://doi.org/10.5662/wjm.v5.i4.216
https://doi.org/10.5662/wjm.v5.i4.216
26 Wadhwa, R.; Aggarwal, T.; Thapliyal, N.; Kumar, A.; Priya; Yadav, P.; Kumari, V.; Reddy, B.S.C.; Chandra, P.; Maurya, P.K. Red Blood Cells as an Efficient In vitro Model for Evaluating the Efficacy of Metallic Nanoparticles. 3 Biotech 2019, 9(7), 279. https://doi.org/10.1007/s13205-019-1807-4
https://doi.org/10.1007/s13205-019-1807-4
27 Daraghmeh, D.N.; Karaman, R. The Redox Process in Red Blood Cells: Balancing Oxidants and Antioxidants. Antioxidants 2025, 14(1), 36. https://doi.org/10.3390/antiox14010036
https://doi.org/10.3390/antiox14010036
28 Mesdaghinia, A.; Pourpak, Z.; Naddafi, K.; Nodehi, R.N.; Alizadeh, Z.; Rezaei, S.; Mohammadi, A.; Faraji, M. An In vitro Method to Evaluate Hemolysis of Human Red Blood Cells (RBCs) Treated by Airborne Particulate Matter (PM10). MethodsX 2019, 6, 156-161. https://doi.org/10.1016/j.mex.2019.01.001
https://doi.org/10.1016/j.mex.2019.01.001
29 Silvestrini, A.; Meucci, E.; Ricerca, B.M.; Mancini, A. Total Antioxidant Capacity: Biochemical Aspects and Clinical Significance. Int. J. Mol. Sci. 2023, 24(13), 10978. https://doi.org/10.3390/ijms241310978
https://doi.org/10.3390/ijms241310978
30 Huyut, Z.; Şekeroğlu, M.R.; Balahoroğlu, R.; Huyut, M.T. Characteristics of Resveratrol and Serotonin on Antioxidant Capacity and Susceptibility to Oxidation of Red Blood Cells in Stored Human Blood in a Time-Dependent Manner. J. Int. Med. Res. 2018, 46(1), 272-283. https://doi.org/10.1177/0300060517725450
https://doi.org/10.1177/0300060517725450
31 Gallardo, M.J.; Suwalsky, M.; Ramírez, D.; Tapia, J.; Sepulveda, B. Antioxidant Effect of Resveratrol in Single Red Blood Cells Measured by Thermal Fluctuation Spectroscopy. Arch. Biochem. Biophys. 2019, 665, 30-35. https://doi.org/10.1016/j.abb.2019.02.011
https://doi.org/10.1016/j.abb.2019.02.011
32 Tabet Zatla, A.; Hammoudi, A.; Fellah, M.; Mohammed, D.Z.; Pérard, J.; El-Hiti, G.A. In vitro Study of the Antihemolytic and Antioxidant Potential of Two Essential Oils from Salvia officinalis L. and Curcuma longa L. Against Glucantime® Toxicity. J. Eng. Res. 2024. Advance online publication. https://doi.org/10.1016/j.jer.2024.12.007
https://doi.org/10.1016/j.jer.2024.12.007
33 Pagano, M.; Faggio, C. The Use of Erythrocyte Fragility to Assess Xenobiotic Cytotoxicity. Cell Biochem. Funct. 2015, 33(6), 351-355. https://doi.org/10.1002/cbf.3135
https://doi.org/10.1002/cbf.3135
34 Farag, M.R.; Alagawany, M. Erythrocytes as a Biological Model for Screening of Xenobiotics Toxicity. Chem. Biol. Interact. 2018, 279, 73-83. https://doi.org/10.1016/j.cbi.2017.11.007
https://doi.org/10.1016/j.cbi.2017.11.007
35 Podsiedlik, M.; Markowicz-Piasecka, M.; Sikora, J. Erythrocytes as Model Cells for Biocompatibility Assessment, Cytotoxicity Screening of Xenobiotics and Drug Delivery. Chem. Biol. Interact. 2020, 332, 109305. https://doi.org/10.1016/j.cbi.2020.109305
https://doi.org/10.1016/j.cbi.2020.109305
36 Hollman, P.C.; Cassidy, A.; Comte, B.; Heinonen, M.; Richelle, M.; Richling, E.; Serafini, M.; Scalbert, A.; Sies, H.; Vidry, S. The Biological Relevance of Direct Antioxidant Effects of Polyphenols for Cardiovascular Health in Humans Is Not Established. J. Nutr. 2011, 141(5), 989S-1009S. https://doi.org/10.3945/jn.110.131490
https://doi.org/10.3945/jn.110.131490
37 Orrico, F.; Laurance, S.; Lopez, A.C.; Lefevre, S.D.; Thomson, L.; Möller, M.N.; Ostuni, M.A. Oxidative Stress in Healthy and Pathological Red Blood Cells. Biomolecules 2023, 13(8), 1262. https://doi.org/10.3390/biom13081262
https://doi.org/10.3390/biom13081262
38 Pretorius, E. The Adaptability of Red Blood Cells. Cardiovasc. Diabetol. 2013, 12, 63. https://doi.org/10.1186/1475-2840-12-63
https://doi.org/10.1186/1475-2840-12-63
39 Chisté, R.C.; Freitas, M.; Mercadante, A.Z.; Fernandes, E. Carotenoids Inhibit Lipid Peroxidation and Hemoglobin Oxidation, but Not the Depletion of Glutathione Induced by ROS in Human Erythrocytes. Life Sci. 2014, 99(1-2), 52-60. https://doi.org/10.1016/j.lfs.2014.01.059
https://doi.org/10.1016/j.lfs.2014.01.059
40 Arif, S.H.; Yadav, N.; Rehman, S.; Mehdi, G. Study of Hemolysis During Storage of Blood in the Blood Bank of a Tertiary Health Care Centre. Indian J. Hematol. Blood Transfus. 2017, 33(4), 598-602. https://doi.org/10.1007/s12288-016-0769-5
https://doi.org/10.1007/s12288-016-0769-5
41 Pandey, K.B.; Rizvi, S.I. Biomarkers of Oxidative Stress in Red Blood Cells. Biomed. Pap. Med. Fac. Univ. Palacky Olomouc Czech Repub. 2011, 155(2), 131-136. https://doi.org/10.5507/bp.2011.027
https://doi.org/10.5507/bp.2011.027
42 Spinelli, S.; Marino, A.; Remigante, A.; Morabito, R. Redox Homeostasis in Red Blood Cells: From Molecular Mechanisms to Antioxidant Strategies. Curr. Issues Mol. Biol. 2025, 47(8), 655. https://doi.org/10.3390/cimb47080655
https://doi.org/10.3390/cimb47080655
43 Amakran, A.; Hamoudane, M.; Pagniez, F.; Lamarti, A.; Picot, C.; Figueredo, G.; Nhiri, M.; Le Pape, P. Chemical Composition, Antifungal, Antioxidant, and Hemolytic Activities of Moroccan Thymus capitatus Essential Oil. Chem. Biodivers. 2024, 21(9), e202300563. https://doi.org/10.1002/cbdv.202300563
https://doi.org/10.1002/cbdv.202300563
44 Boschetti, A.; Biasioli, F.; van Opbergen, M.; Warneke, C.; Jordan, A.; Holzinger, R.; Prazeller, P.; Karl, T.; Hansel, A.; Lindinger, W.; Iannotta, S. PTR-MS Real Time Monitoring of the Emission of Volatile Organic Compounds During Postharvest Aging of Berryfruit. Postharvest Biol. Technol. 1999, 17, 143-151. https://doi.org/10.1016/s0925-5214(99)00052-6
https://doi.org/10.1016/S0925-5214(99)00052-6
45 Wróblewski, T.; Kamińska, A.; Włodarkiewicz, A.; Ushakou, D. Studies of Volatile Organic Compounds Emission from Fragaria vesca and Fragaria ananassa Using Proton Transfer Reaction Mass Spectrometry. Acta Phys. Pol. B Proc. Suppl. 2020, 13(4), 899-906. https://doi.org/10.5506/APhysPolBSupp.13.899
https://doi.org/10.5506/APhysPolBSupp.13.899
46 Mochalski, P.; Shuster, G.; Leja, M.; Unterkofler, K.; Jaeschke, C.; Skapars, R.; Gasenko, E.; Polaka, I.; Vasiljevs, E.; Shani, G.; Mitrovics, J.; Mayhew, C.A.; Haick, H. Non-Contact Breath Sampling for Sensor-Based Breath Analysis. J. Breath Res. 2019, 13(3), 036001. https://doi.org/10.1088/1752-7163/ab0b8d
https://doi.org/10.1088/1752-7163/ab0b8d
47 Hansel, A.; Jordan, A.; Holzinger, R.; Prazeller, P.; Vogel, W.; Lindinger, W. Proton Transfer Reaction Mass Spectrometry: On-Line Trace Gas Analysis at the ppb Level. Int. J. Mass Spectrom. Ion Process. 1995, 149-150, 609-619 https://doi.org/10.1016/0168-1176(95)04294-U
https://doi.org/10.1016/0168-1176(95)04294-U
48 Lindinger, W.; Jordan, A. Proton-Transfer-Reaction Mass Spectrometry (PTR-MS): On-Line Monitoring of Volatile Organic Compounds at pptv Levels. Chem. Soc. Rev. 1998, 27, 347-375. https://doi.org/10.1039/A827347Z
https://doi.org/10.1039/a827347z
49 Movasaghi, Z.; Rehman, S.; Rehman, I.U. Fourier Transform Infrared (FTIR) Spectroscopy of Biological Tissues. Appl. Spectrosc. Rev. 2008, 43(2), 134-179 https://doi.org/10.1080/05704920701829043
https://doi.org/10.1080/05704920701829043
50 Vlachos, N.; Skopelitis, Y.; Psaroudaki, M.; Konstantinidou, V.; Chatzilazarou, A.; Tegou, E. Applications of Fourier Transform-Infrared Spectroscopy to Edible Oils. Anal. Chim. Acta 2006, 573-574, 459-465 https://doi.org/10.1016/j.aca.2006.05.034
https://doi.org/10.1016/j.aca.2006.05.034
51 Buege, J.A.; Aust, S.D. Microsomal Lipid Peroxidation. Methods Enzymol. 1978, 52, 302-310. https://doi.org/10.1016/s0076-6879(78)52032-6
https://doi.org/10.1016/S0076-6879(78)52032-6
52 Levine, R.L.; Garland, D.; Oliver, C.N.; Amici, A.; Climent, I.; Lenz, A.G.; Ahn, B.W.; Shaltiel, S.; Stadtman, E.R. Determination of Carbonyl Content in Oxidatively Modified Proteins. Methods Enzymol. 1990, 186, 464-478 https://doi.org/10.1016/0076-6879(90)86141-h
https://doi.org/10.1016/0076-6879(90)86141-H
53 Miller, N.J.; Rice-Evans, C.; Davies, M.J.; Gopinathan, V.; Milner, A. A Novel Method for Measuring Antioxidant Capacity and Its Application to Monitoring the Antioxidant Status in Premature Neonates. Clin. Sci. 1993, 84(4), 407-412. https://doi.org/10.1042/cs0840407
https://doi.org/10.1042/cs0840407
54 Claiborne, A. Catalase Activity. In: Greenwald, R.A., Ed., CRC Handbook of Methods for Oxygen Radical Research, CRC Press, Boca Raton, 1985, pp. 283-284.
55 Ravin, H.A. An Improved Colorimetric Enzymatic Assay of Ceruloplasmin. J. Lab. Clin. Med. 1961, 58, 161-168.
56 Kamyshnikov, V.S. Reference Book on Clinical and Biochemical Research and Laboratory Diagnostics, MEDpress-inform, Moscow, 2004.
57 Mariańska, B.; Fabijańska-Mitek, J.; Windyga, J. Laboratory Investigations in Haematology: A Textbook for Medical Students, 1st ed., PZWL Medical Publishing, Warsaw, 2003. ISBN: 83-200-2758-6
58 Stanisz, A. An Accessible Course in Statistics Using STATISTICA PL on Medical Examples. Vol. 1: Basic Statistics, StatSoft Polska, 2006.
59 Stanisz, A. An Accessible Course in Statistics Using STATISTICA PL on Medical Examples. Vol. 2: Linear and Nonlinear Models, StatSoft Polska, 2007.
60 Kim, S.; Karl, T.; Guenther, A.; Tyndall, G.; Orlando, J.; Harley, P.; Rasmussen, R.; Apel, E. Emissions and Ambient Distributions of Biogenic Volatile Organic Compounds (BVOC) in a Ponderosa Pine Ecosystem: Interpretation of PTR-MS Mass Spectra. Atmos. Chem. Phys. Discuss. 2009, 9, 20819-20852.
https://doi.org/10.5194/acpd-9-20819-2009
61 Allenspach, M.; Valder, C.; Flamm, D.; Grisoni, F.; Steuer, C. Verification of Chromatographic Profile of Primary Essential Oil of Pinus sylvestris L. Combined with Chemometric Analysis. Molecules 2020, 25(13), 2973. https://doi.org/10.3390/molecules25132973
https://doi.org/10.3390/molecules25132973
62 Garzoli, S.; Vaglia, V.; Iriti, M.; Vitalini, S. Vapor and Liquid Phase Profiles of Essential Oils from Abies, Picea and Pinus Species and Their Phytotoxic Interactions with Weed Growth in Pre- and Post-Emergence Conditions. Plants 2023, 12(5), 1172. https://doi.org/10.3390/plants12051172
https://doi.org/10.3390/plants12051172
63 Allenspach, M.; Steuer, C. α-Pinene: A Never-Ending Story. Phytochemistry 2021, 190, 112857. https://doi.org/10.1016/j.phytochem.2021.112857
https://doi.org/10.1016/j.phytochem.2021.112857
64 Balahbib, A.; El Omari, N.; Hachlafi, N.E.; Lakhdar, F.; El Menyiy, N.; Salhi, N.; Mrabti, H.N.; Bakrim, S.; Zengin, G.; Bouyahya, A. Health Beneficial and Pharmacological Properties of p-Cymene. Food Chem. Toxicol. 2021, 153, 112259. https://doi.org/10.1016/j.fct.2021.112259
https://doi.org/10.1016/j.fct.2021.112259
65 Ma, R.; Lu, D.; Wang, J.; Xie, Q.; Guo, J. Comparison of Pharmacological Activity and Safety of Different Stereochemical Configurations of Borneol: L-Borneol, D-Borneol, and Synthetic Borneol. Biomed. Pharmacother. 2023, 164, 114668. https://doi.org/10.1016/j.biopha.2023.114668
https://doi.org/10.1016/j.biopha.2023.114668
66 Karthikeyan, R.; Kanimozhi, G.; Prasad, N.R.; Agilan, B.; Ganesan, M.; Srithar, G. Alpha Pinene Modulates UVA-Induced Oxidative Stress, DNA Damage and Apoptosis in Human Skin Epidermal Keratinocytes. Life Sci. 2018, 212, 150-158. https://doi.org/10.1016/j.lfs.2018.10.004
https://doi.org/10.1016/j.lfs.2018.10.004
67 Porres-Martínez, M.; González-Burgos, E.; Carretero, M.E.; Gómez-Serranillos, M.P. In vitro Neuroprotective Potential of the Monoterpenes α-Pinene and 1, 8-Cineole Against H₂O₂-Induced Oxidative Stress in PC12 Cells. Z. Naturforsch. C 2016, 71(7-8), 191-199. https://doi.org/10.1515/znc-2014-4135
https://doi.org/10.1515/znc-2014-4135
68 Wang, S.; Wang, X.; Wang, Y.U.; Leng, Q.; Sun, Y.U.; Hoffman, R.M.; Jin, H. The Antioxidant Monoterpene p-Cymene Reduced the Occurrence of Colorectal Cancer in a Hyperlipidemia Rat Model by Reducing Oxidative Stress and Expression of Inflammatory Cytokines. Anticancer Res. 2021, 41(3), 1213-1218. https://doi.org/10.21873/anticanres.14878
https://doi.org/10.21873/anticanres.14878
69 Formiga, R.O.; Alves Júnior, E.B.; Vasconcelos, R.C.; Guerra, G.C.B.; Antunes de Araújo, A.; Carvalho, T.G.; Garcia, V.B.; de Araújo Junior, R.F.; Gadelha, F.A.A.F.; Vieira, G.C.; Sobral, M.V.; Barbosa Filho, J.M.; Spiller, F.; Batista, L.M. p-Cymene and Rosmarinic Acid Ameliorate TNBS-Induced Intestinal Inflammation Upkeeping ZO-1 and MUC-2: Role of Antioxidant System and Immunomodulation. Int. J. Mol. Sci. 2020, 21(16), 5870. https://doi.org/10.3390/ijms21165870
https://doi.org/10.3390/ijms21165870
70 Bansod, S.; Chilvery, S.; Saifi, M.A.; Das, T.J.; Tag, H.; Godugu, C. Borneol Protects Against Cerulein-Induced Oxidative Stress and Inflammation in Acute Pancreatitis Mice Model. Environ. Toxicol. 2021, 36(4), 530-539. https://doi.org/10.1002/tox.23058
https://doi.org/10.1002/tox.23058
71 Cherneva, E.; Pavlovic, V.; Smelcerovic, A.; Yancheva, D. The Effect of Camphor and Borneol on Rat Thymocyte Viability and Oxidative Stress. Molecules 2012, 17(9), 10258-10266. https://doi.org/10.3390/molecules170910258
https://doi.org/10.3390/molecules170910258
72 Hur, J.; Pak, S.C.; Koo, B.S.; Jeon, S. Borneol Alleviates Oxidative Stress via Upregulation of Nrf2 and Bcl-2 in SH-SY5Y Cells. Pharm. Biol. 2013, 51(1), 30-35. https://doi.org/10.3109/13880209.2012.700718
https://doi.org/10.3109/13880209.2012.700718
73 Ciftci, O.; Ozdemir, I.; Tanyildizi, S.; Yildiz, S.; Oguzturk, H. Antioxidative Effects of Curcumin, β-Myrcene and 1, 8-Cineole Against 2, 3,7, 8-Tetrachlorodibenzo-p-dioxin-Induced Oxidative Stress in Rats Liver. Toxicol. Ind. Health 2011, 27(5), 447-453. https://doi.org/10.1177/0748233710388452
https://doi.org/10.1177/0748233710388452
74 Baek, S.; Kim, J.; Moon, B.S.; Park, S.M.; Jung, D.E.; Kang, S.Y.; Lee, S.J.; Oh, S.J.; Kwon, S.H.; Nam, M.H.; Kim, H.O.; Yoon, H.J.; Kim, B.S.; Lee, K.P. Camphene Attenuates Skeletal Muscle Atrophy by Regulating Oxidative Stress and Lipid Metabolism in Rats. Nutrients 2020, 12(12), 3731. https://doi.org/10.3390/nu12123731
https://doi.org/10.3390/nu12123731
75 Suh, K.S.; Chon, S.; Choi, E.M. Limonene Protects Osteoblasts Against Methylglyoxal-Derived Adduct Formation by Regulating Glyoxalase, Oxidative Stress, and Mitochondrial Function. Chem. Biol. Interact. 2017, 278, 15-21. https://doi.org/10.1016/j.cbi.2017.10.001
https://doi.org/10.1016/j.cbi.2017.10.001
76 Shukla, P.; Pant, A.; Pandey, R. Limonene Attenuates Oxidative Stress and Extends Longevity in Caenorhabditis elegans. Curr. Sci. 2019, 116(6), 959-965. https://doi.org/10.18520/cs/v116/i6/959-965
https://doi.org/10.18520/cs/v116/i6/959-965
77 Turkez, H.; Aydın, E.; Geyikoglu, F.; Cetin, D. Genotoxic and Oxidative Damage Potentials in Human Lymphocytes After Exposure to Terpinolene In vitro. Cytotechnology 2015, 67(3), 409-418. https://doi.org/10.1007/s10616-014-9698-z
https://doi.org/10.1007/s10616-014-9698-z
78 Calabrese, E.J.; Mattson, M.P. How Does Hormesis Impact Biology, Toxicology, and Medicine?. NPJ Aging Mech. Dis. 2017, 3, 13. https://doi.org/10.1038/s41514-017-0013-z
https://doi.org/10.1038/s41514-017-0013-z
79 Hajizadeh Moghaddam, A.; Malekzadeh Estalkhi, F.; Khanjani Jelodar, S.; Ahmed Hasan, T.; Farhadi-Pahnedari, S.; Karimian, M. Neuroprotective Effects of Alpha-Pinene Against Behavioral Deficits in Ketamine-Induced Mice Model of Schizophrenia: Focusing on Oxidative Stress Status. IBRO Neurosci. Rep. 2024, 16, 182-189. https://doi.org/10.1016/j.ibneur.2023.12.012
https://doi.org/10.1016/j.ibneur.2023.12.012
80 Linder, M.C. Ceruloplasmin and Other Copper Binding Components of Blood Plasma and Their Functions: An Update. Metallomics 2016, 8(9), 887-905. https://doi.org/10.1039/c6mt00103c
https://doi.org/10.1039/C6MT00103C
81 Wang, B.; Wang, X.P. Does Ceruloplasmin Defend Against Neurodegenerative Diseases?. Curr. Neuropharmacol. 2019, 17(6), 539-549. https://doi.org/10.2174/1570159X16666180508113025
https://doi.org/10.2174/1570159X16666180508113025
82 Liu, Z.; Wang, M.; Zhang, C.; Zhou, S.; Ji, G. Molecular Functions of Ceruloplasmin in Metabolic Disease Pathology. Diabetes Metab. Syndr. Obes. 2022, 15, 695-711. https://doi.org/10.2147/DMSO.S346648
https://doi.org/10.2147/DMSO.S346648
83 Kong, A.S.-Y.; Maran, S.; Yap, P.S.-X.; Lim, S.-H.E.; Yang, S.-K.; Cheng, W.-H.; Tan, Y.-H.; Lai, K.-S. Anti- and Pro-Oxidant Properties of Essential Oils Against Antimicrobial Resistance. Antioxidants 2022, 11(9), 1819 https://doi.org/10.3390/antiox11091819
https://doi.org/10.3390/antiox11091819
84 Walski, T.; Chludzińska, L.; Komorowska, M.; Witkiewicz, W. Individual Osmotic Fragility Distribution: A New Parameter for Determination of the Osmotic Properties of Human Red Blood Cells. Biomed Res. Int. 2014, 2014, 162102. https://doi.org/10.1155/2014/162102
https://doi.org/10.1155/2014/162102
85 Siddiqui, T.; Khan, M.U.; Sharma, V.; Gupta, K. Terpenoids in Essential Oils: Chemistry, Classification, and Potential Impact on Human Health and Industry. Phytomedicine Plus 2024, 4(2), 100549. https://doi.org/10.1016/j.phyplu.2024.100549
https://doi.org/10.1016/j.phyplu.2024.100549
86 Xie, Q.; Liu, Z.; Li, Z. Chemical Composition and Antioxidant Activity of Essential Oil of Six Pinus Taxa Native to China. Molecules 2015, 20(5), 9380-9392. https://doi.org/10.3390/molecules20059380
https://doi.org/10.3390/molecules20059380
87 Bonikowski, R.; Celiński, K.; Wojnicka-Półtorak, A.; Maliński, T. Composition of Essential Oils Isolated from the Needles of Pinus uncinata and P. uliginosa Grown in Poland. Nat. Prod. Commun. 2015, 10(2), 371-373
https://doi.org/10.1177/1934578X1501000243
88 Dakhlaoui, S.; Bourgou, S.; Bachkouel, S.; Ben Mansour, R.; Ben Jemaa, M.; Jallouli, S.; Megdiche-Ksouri, W.; Hessini, K.; Msaada, K. Essential Oil Composition and Biological Activities of Aleppo Pine (Pinus halepensis Miller) Needles Collected from Different Tunisian Regions. Int. J. Environ. Health Res. 2023, 33(1), 83-97. https://doi.org/10.1080/09603123.2021.2005001
https://doi.org/10.1080/09603123.2021.2005001
89 Sandulovici, R.C.; Gălăţanu, M.L.; Cima, L.M.; Panus, E.; Truţă, E.; Mihăilescu, C.M.; Sârbu, I.; Cord, D.; Rîmbu, M.C.; Anghelache, Ş.A.; Panţuroiu, M. Phytochemical Characterization, Antioxidant, and Antimicrobial Activity of the Vegetative Buds from Romanian Spruce, Picea abies (L.) H. Karst. Molecules 2024, 29(9), 2128. https://doi.org/10.3390/molecules29092128
https://doi.org/10.3390/molecules29092128
90 Postu, P.A.; Sadiki, F.Z.; El Idrissi, M.; Cioanca, O.; Trifan, A.; Hancianu, M.; Hritcu, L. Pinus halepensis Essential Oil Attenuates the Toxic Alzheimer's Amyloid Beta (1-42)-Induced Memory Impairment and Oxidative Stress in the Rat Hippocampus. Biomed. Pharmacother. 2019, 112, 108673. https://doi.org/10.1016/j.biopha.2019.108673
https://doi.org/10.1016/j.biopha.2019.108673
91 Sharifi-Rad, M.; Lankatillake, C.; Dias, D.A.; Docea, A.O.; Mahomoodally, M.F.; Lobine, D.; Chazot, P.L.; Kurt, B.; Tumer, T.B.; Moreira, A.C.; Sharopov, F.; Martorell, M.; Martins, N.; Cho, W.C.; Calina, D.; Sharifi-Rad, J. Impact of Natural Compounds on Neurodegenerative Disorders: From Preclinical to Pharmacotherapeutics. J. Clin. Med. 2020, 9(4), 1061. https://doi.org/10.3390/jcm9041061
https://doi.org/10.3390/jcm9041061
92 Kim, J.H.; Kim, Y.H.; Park, B.I.; Choi, N.Y.; Kim, K.J. Pinus koraiensis Essential Oil Attenuates the Pathogenicity of Superbacteria by Suppressing Virulence Gene Expression. Molecules 2023, 29(1), 37. https://doi.org/10.3390/molecules29010037
https://doi.org/10.3390/molecules29010037
93 Yang, J.; Choi, W.S.; Kim, K.J.; Eom, C.D.; Park, M.J. Investigation of Active Anti-Inflammatory Constituents of Essential Oil from Pinus koraiensis (Sieb. et Zucc.) Wood in LPS-Stimulated RBL-2H3 Cells. Biomolecules 2021, 11(6), 817. https://doi.org/10.3390/biom11060817
https://doi.org/10.3390/biom11060817
94 Darwish, R.S.; Hammoda, H.M.; Ghareeb, D.A.; Abdelhamid, A.S.A.; Bellah El Naggar, E.M.; Harraz, F.M.; Shawky, E. Efficacy-Directed Discrimination of the Essential Oils of Three Juniperus Species Based on Their In-Vitro Antimicrobial and Anti-Inflammatory Activities. J. Ethnopharmacol. 2020, 259, 112971. https://doi.org/10.1016/j.jep.2020.112971
https://doi.org/10.1016/j.jep.2020.112971
95 Schoss, K.; Kočevar Glavač, N.; Kreft, S. Volatile Compounds in Norway Spruce (Picea abies) Significantly Vary with Season. Plants 2023, 12(1), 188. https://doi.org/10.3390/plants12010188
https://doi.org/10.3390/plants12010188
96 Matera, R.; Lucchi, E.; Valgimigli, L. Plant Essential Oils as Healthy Functional Ingredients of Nutraceuticals and Diet Supplements: A Review. Molecules 2023, 28(2), 901. https://doi.org/10.3390/molecules28020901
https://doi.org/10.3390/molecules28020901
97 de Sousa, D.P.; Damasceno, R.O.S.; Amorati, R.; Elshabrawy, H.A.; de Castro, R.D.; Bezerra, D.P.; Nunes, V.R.V.; Gomes, R.C.; Lima, T.C. Essential Oils: Chemistry and Pharmacological Activities. Biomolecules 2023, 13(7), 1144. https://doi.org/10.3390/biom13071144
https://doi.org/10.3390/biom13071144
98 Calabrese, E.J.; Baldwin, L.A. Hormesis at the National Toxicology Program (NTP): Evidence of Hormetic Dose Responses in NTP Dose-Range Studies. Nonlinear. Biol. Toxicol. Med. 2003, 1(4), 455-467. https://doi.org/10.1080/15401420390271056
https://doi.org/10.1080/15401420390271056
99 Sikkema, J.; de Bont, J.A.; Poolman, B. Mechanisms of Membrane Toxicity of Hydrocarbons. Microbiol. Rev. 1995, 59(2), 201-222. https://doi.org/10.1128/mr.59.2.201-222.1995
https://doi.org/10.1128/mr.59.2.201-222.1995
100 Turina, A.V.; Nolan, M.V.; Zygadlo, J.A.; Perillo, M.A. Natural Terpenes: Self-Assembly and Membrane Partitioning. Biophys. Chem. 2006, 122(2), 101-113. https://doi.org/10.1016/j.bpc.2006.02.007
https://doi.org/10.1016/j.bpc.2006.02.007
101 Melkina, O.E.; Plyuta, V.A.; Khmel, I.A.; Zavilgelsky, G.B. The Mode of Action of Cyclic Monoterpenes (-)-Limonene and (+)-α-Pinene on Bacterial Cells. Biomolecules 2021, 11(6), 806. https://doi.org/10.3390/biom11060806
https://doi.org/10.3390/biom11060806
102 Allenspach, M.; Steuer, C. α-Pinene: A Never-Ending Story. Phytochemistry 2021, 190, 112857. https://doi.org/10.1016/j.phytochem.2021.112857
https://doi.org/10.1016/j.phytochem.2021.112857
103 Silva-Filho, J.C.; Oliveira, N.N.; Arcanjo, D.D.; Quintans-Júnior, L.J.; Cavalcanti, S.C.; Santos, M.R.; Oliveira, R.deC.; Oliveira, A.P. Investigation of Mechanisms Involved in (-)-Borneol-Induced Vasorelaxant Response on Rat Thoracic Aorta. Basic Clin. Pharmacol. Toxicol. 2012, 110(2), 171-177. https://doi.org/10.1111/j.1742-7843.2011.00784.x
https://doi.org/10.1111/j.1742-7843.2011.00784.x
104 Miguel, M.G. Antioxidant and Anti-Inflammatory Activities of Essential Oils: A Short Review. Molecules 2010, 15(12), 9252-9287. https://doi.org/10.3390/molecules15129252
https://doi.org/10.3390/molecules15129252
105 Chen, X.; Shang, S.; Yan, F.; Jiang, H.; Zhao, G.; Tian, S.; Chen, R.; Chen, D.; Dang, Y. Antioxidant Activities of Essential Oils and Their Major Components in Scavenging Free Radicals, Inhibiting Lipid Oxidation and Reducing Cellular Oxidative Stress. Molecules 2023, 28(11), 4559. https://doi.org/10.3390/molecules28114559
https://doi.org/10.3390/molecules28114559
106 Altonsy, M.O.; Sabry, M.; Abdel-Hady, H. Antioxidant Activity of Essential Oils from Pinaceae Species: Chemical Composition and Biological Implications. Antioxidants 2021, 10(9), 1452. https://doi.org/10.3390/antiox10091452
https://doi.org/10.3390/antiox10091452
107 Thalappil, M.A.; Butturini, E.; Carcereri de Prati, A.; Bettin, I.; Antonini, L.; Sapienza, F.U.; Garzoli, S.; Ragno, R.; Mariotto, S. Pinus mugo Essential Oil Impairs STAT3 Activation Through Oxidative Stress and Induces Apoptosis in Prostate Cancer Cells. Molecules 2022, 27(15), 4834. https://doi.org/10.3390/molecules27154834
https://doi.org/10.3390/molecules27154834
108 Li, Y.; Zhang, X.; Wang, Z.; Li, B.; Zhu, H. Modulation of Redox Homeostasis: A Strategy to Overcome Cancer Drug Resistance. Front. Pharmacol. 2023, 14, 1156538. https://doi.org/10.3389/fphar.2023.1156538
https://doi.org/10.3389/fphar.2023.1156538
109 Mohamed Abdoul-Latif, F.; Ainane, A.; Houmed Aboubaker, I.; Mohamed, J.; Ainane, T. Exploring the Potent Anticancer Activity of Essential Oils and Their Bioactive Compounds: Mechanisms and Prospects for Future Cancer Therapy. Pharmaceuticals 2023, 16(8), 1086. https://doi.org/10.3390/ph16081086
https://doi.org/10.3390/ph16081086
110 Naz Qaisrani, R.; Iram Niaz, S.; Bano, R.; Abuelizz, H.A.; Alvi, A.M.; Chaman, S.; Aziz, Q.; Wazir, M.A.; Akram, M.; Ishtiaq, S.; Ramzan, M.; Amin, A. Integrative In Silico and In vitro Analysis of Pinus roxburghii Essential Oil: Unveiling Its Antioxidant, Antidiabetic, and Antiglycation Potential. Front. Pharmacol. 2025, 16, 1554562 https://doi.org/10.3389/fphar.2025.1554562
https://doi.org/10.3389/fphar.2025.1554562
111 Cragg, G.M.; Pezzuto, J.M. Natural Products as a Vital Source for the Discovery of Cancer Chemotherapeutic and Chemopreventive Agents. Med. Princ. Pract. 2016, 25(Suppl. 2), 41-59. https://doi.org/10.1159/000443404
https://doi.org/10.1159/000443404
112 Amin, A.; Gali-Muhtasib, H.; Ocker, M.; Schneider-Stock, R. Overview of Major Classes of Plant-Derived Anticancer Drugs. Int. J. Biomed. Sci. 2009, 5(1), 1-11
https://doi.org/10.59566/IJBS.2009.5001
113 Nikolic, M.; Andjic, M.; Bradic, J.; Kocovic, A.; Tomovic, M.; Samanovic, A.M.; Jakovljevic, V.; Veselinovic, M.; Capo, I.; Krstonosic, V.; Kladar, N.; Petrovic, A. Topical Application of Siberian Pine Essential Oil Formulations Enhance Diabetic Wound Healing. Pharmaceutics 2023, 15(10), 2437. https://doi.org/10.3390/pharmaceutics15102437
https://doi.org/10.3390/pharmaceutics15102437
114 Bakkali, F.; Averbeck, S.; Averbeck, D.; Idaomar, M. Biological Effects of Essential Oils - A Review. Food Chem. Toxicol. 2008, 46(2), 446-475. https://doi.org/10.1016/j.fct.2007.09.106
https://doi.org/10.1016/j.fct.2007.09.106